Siste oppdatering :
27/01/2026
Antiinflammatorisk   Ketoprofene  
Salver
Injeksjon Mikstur Stikkpille
Stabilitet av farmasøytiske preparater Stabilitet i blandinger Faktorer som påvirker stabiliteten Kompatibilitet Referanser pdf
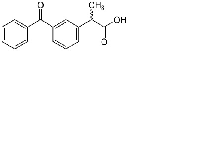
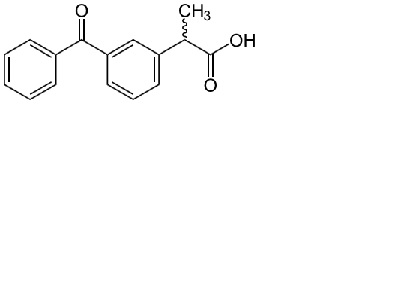
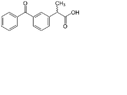
   Kjemisk struktur  

Salver

Faktorer som påvirker stabiliteten   Salver   Faktorer som påvirker stabiliteten : Ketoprofene        
Ingen opplysninger

  Mentions Légales