Son güncelleme :
27/01/2026
Antienflamatuvar   Ketoprofene  
Merhem
Enjeksiyon Fitil Oral solüsyon / oral çözelti
Farmasötik preparatlar Kararlılığı Karışımlardaki stabilitesi Stabiliteyi etkileyen faktörler Uyumluluk Kaynaklar pdf
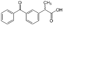
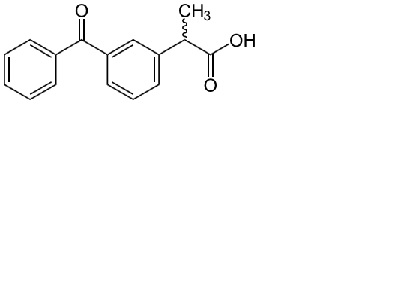
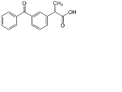
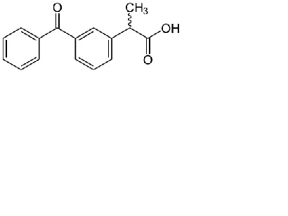
   Kimyasal yapı   

Merhem

Stabiliteyi etkileyen faktörler    Merhem   Stabiliteyi etkileyen faktörler : Ketoprofene        
veri yok

  Mentions Légales