Последно актуализиране :
27/01/2026
Противовъзпалително средство   Ketoprofene  
Унгвент/Унгвенти
Инжекция/Инжекционен Орален разтвор Супозитория
Стабилност на лекарствени препарати Стабилност на смеси Фактори, повлияващи стабилността Съвместимост Библиография Pdf
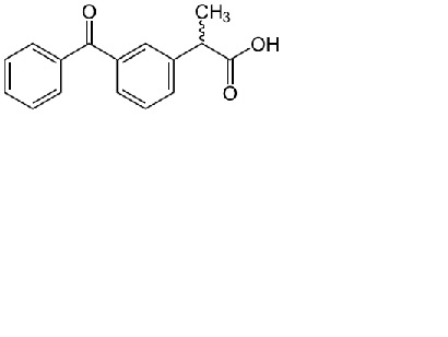
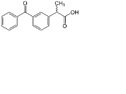
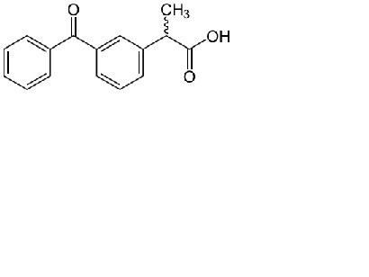
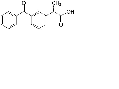
   Химична структура  

Унгвент/Унгвенти

Фактори, повлияващи стабилността   Унгвент/Унгвенти   Фактори, повлияващи стабилността : Ketoprofene        
Няма данни

  Mentions Légales