Última actualização :
27/01/2026
Antiinflamatorio   Ketoprofene  
Pomadas
injetável Solução Oral supositório
Estabilidade de preparações farmacêuticas Estabilidade em misturas Factores que afectam a sua estabilidade Compatibilidade Bibliografía pdf
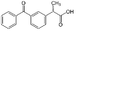
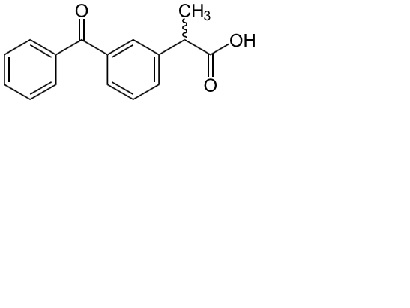
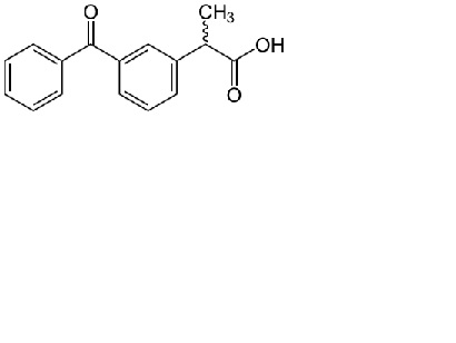
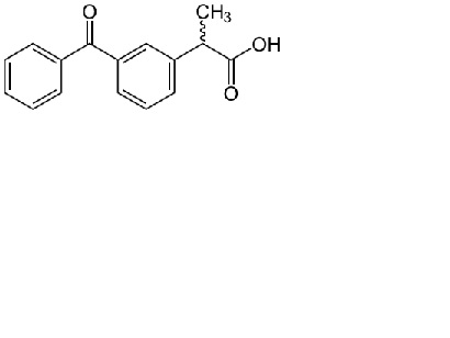
   estrutura química  

Pomadas

Factores que afectam a sua estabilidade   Pomadas   Factores que afectam a sua estabilidade : Ketoprofene        
Ausência de dados

  Mentions Légales