Posledná aktualizácia :
27/01/2026
Antiflogistikum   Ketoprofene  
Dermálny prípravok
Čapík Injekcia Perorálny roztok
Stabilita farmaceutických prípravkov Stabilita v zmesiach Faktory ovplyvňujúce stabilitu Kompatibility Odkazy na literatúru PDF
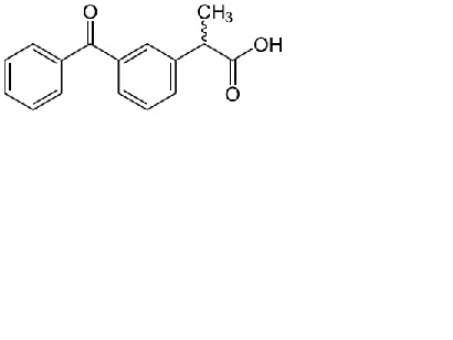
   Chemický vzorec  

Dermálny prípravok

Faktory ovplyvňujúce stabilitu   Dermálny prípravok   Faktory ovplyvňujúce stabilitu : Ketoprofene        
žiadne údaje

  Mentions Légales