Utolsó frissítés :
27/01/2026
Gyulladáscsökkentő   Ketoprofene  
kenőcs
belsőleges oldat Injekció kúp
Stabilitása gyógyszerészeti készítmények A keverékek stabilitása Stabilitást befolyásoló tényezők Kompatibilitás Irodalom pdf
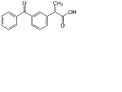
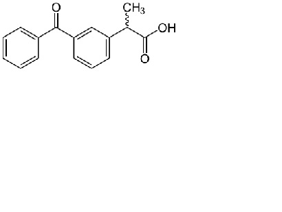
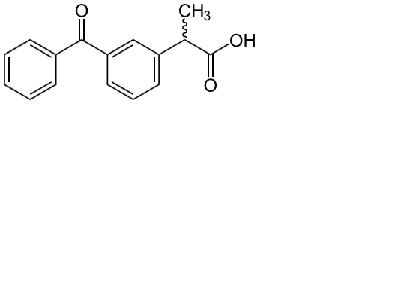
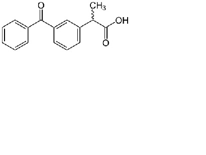
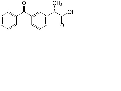
   Kémiai szerkezet   

kenőcs

Stabilitást befolyásoló tényezők   kenőcs   Stabilitást befolyásoló tényezők : Ketoprofene        
Hiányzó adat

  Mentions Légales