zadnja posodobitev :
27/01/2026
Protivnetno zdravilo   Ketoprofene  
Mazila
Brizgalka Peroralna raztopina Svečka
Stabilnost farmacevtskih preparatov Stabilnost mešanice Faktorji, ki vplivajo na stabilnost Kompatibilnost Viri pdf
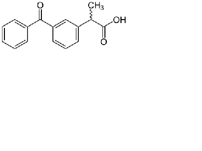
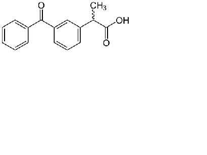
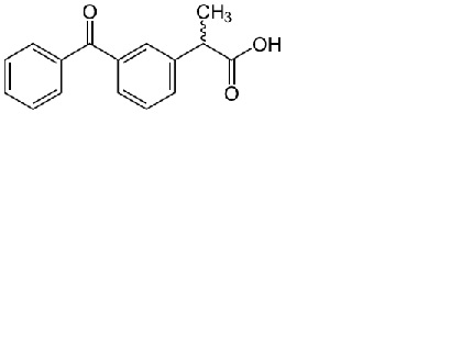
   Kemična formula  

Mazila

Faktorji, ki vplivajo na stabilnost   Mazila   Faktorji, ki vplivajo na stabilnost : Ketoprofene        
ni podatka

  Mentions Légales