آخر تحديث :
27/01/2026
المضادة للالتهابات   Ketoprofene  
المراهم
تحميلة حقن عن طريق الفم
استقرار المستحضرات الصيدلانية استقرار مخاليط العوامل التي تؤثر على الاستقرار التوافق مراجع pdf
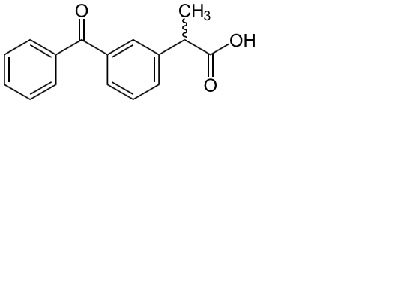
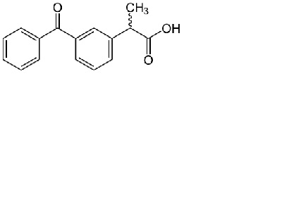
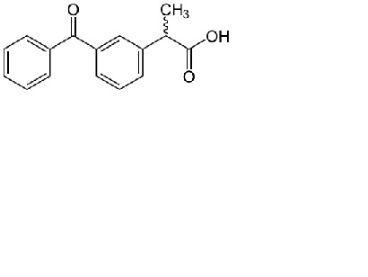
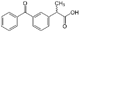
   التركيب الكيميائي  

المراهم

العوامل التي تؤثر على الاستقرار   المراهم   العوامل التي تؤثر على الاستقرار : Ketoprofene        
لا توجد بيانات

  Mentions Légales