Последнее обновление :
05/12/2025
Противовоспалительное средство   Ketoprofene  
Мази
Инъекция Раствор для перорального приёма Суппозиторий (свеча)
Стабильность фармацевтических препаратов Стабильность смесей Факторы, которые влияют на стабильность Совместимость Библиография pdf
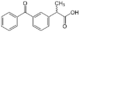
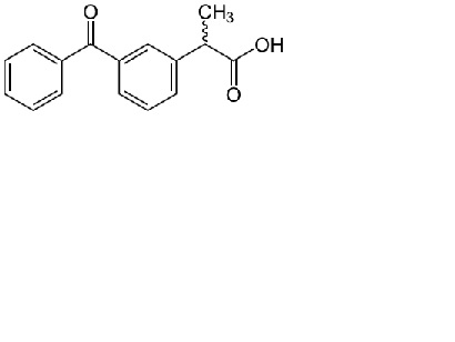
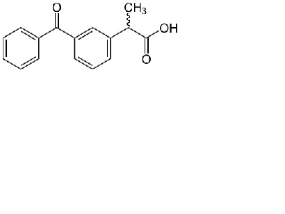
   Химическая структура  

Мази

Факторы, которые влияют на стабильность   Мази   Факторы, которые влияют на стабильность : Ketoprofene        
данных нет

  Mentions Légales