Letztes “update” :
27/01/2026
Entzündungshemmend   Ketoprofene  
Salben
Injektion Lösung zum Einnehmen Zäpfchen
Stabilität von pharmazeutischen Präparaten Gemengestabilität Stabilitätbeeinflussende Faktoren Kompatibilitäten Literaturverzeichnis pdf
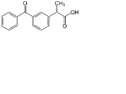
   Chemische Struktur  

Salben

Stabilitätbeeinflussende Faktoren   Salben   Stabilitätbeeinflussende Faktoren : Ketoprofene        
Keine Daten

  Mentions Légales