Seneste opdatering :
27/01/2026
Antiinflammatorisk   Ketoprofene  
Salver
Injektion Oral opløsning Stikpille
Stabilitet af farmaceutiske tilberedninger Stabilitet i blandinger Faktorer der påvirker stabiliteten Kompatibilitet Bibliografi pdf
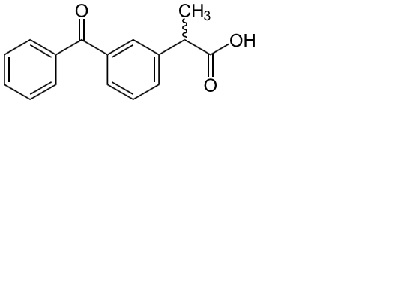
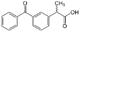
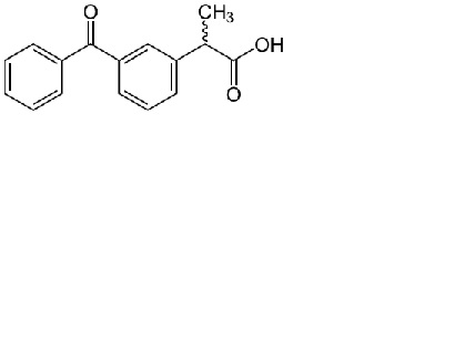
   Kemisk struktur  

Salver

Faktorer der påvirker stabiliteten   Salver   Faktorer der påvirker stabiliteten : Ketoprofene        
Ingen data

  Mentions Légales