Poslední aktualizace :
27/01/2026
Antiflogistikum   Ketoprofene  
Masti
čípky injekce Perorální roztok
Stabilita farmaceutických přípravků Stabilita směsí Faktory ovlivňující stabilitu Kompatibilita Odkazy pdf
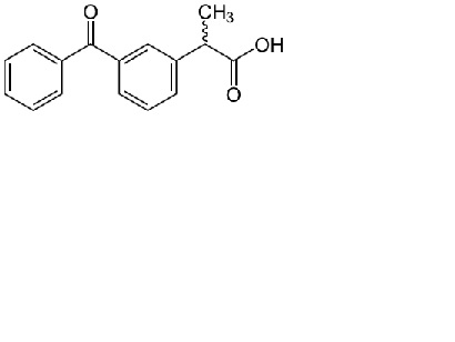
   Chemický vzorec  

Masti

Faktory ovlivňující stabilitu   Masti   Faktory ovlivňující stabilitu : Ketoprofene        
žádná data

  Mentions Légales