Останнє оновлення :
27/04/2026
Антибіотик   Azithromycine  
Мазі
ін'єкція
Стабільність фармацевтичних препаратів Стійкість сумішей Фактори, що впливають на стабільність Сумісність Список літератури pdf
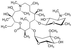
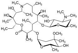
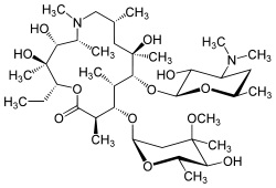
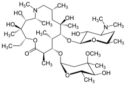
   Хімічна структура  

Мазі
Стабільність фармацевтичних препаратів   Мазі   Стабільність фармацевтичних препаратів : Azithromycine     
Контейнер Origine допоміжна речовина температура Зберігання Тривалість стабільності Список літератури
Не визначено Пляшка для ін'єкцій 500 mg
Zithromax
Етанол 60% >> 25 mL
25°C Зі світлом чи без
182 День
2894


  Mentions Légales