Ultimele actualizari :
27/01/2026
Antibiotic   Azithromycine  
Unguente
Injectabil
Stabilitatea preparatelor farmaceutice Stabilitatea in amestec Factorii care influenteaza stabilitatea Compatibilitate Bibliografie pdf
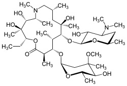
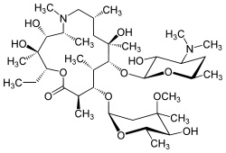
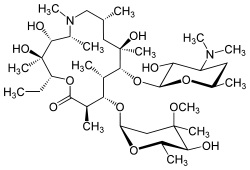
   Formula chimica  

Unguente
Stabilitatea preparatelor farmaceutice   Unguente   Stabilitatea preparatelor farmaceutice : Azithromycine     
Continut Origine Excipient Temperatura Conservare Durata stabilității Bibiografie
neprecizat Flacon Flacon pentru medicament injectabil pentru injecţie 500 mg
Zithromax
Etanol 60% >> 25 mL
25°C In prezenta sau absenta luminii
182 Ziua
2894


  Mentions Légales