Τελευταία ενημέρωση :
27/01/2026
Infostab
Καταστάσεις
Περίληψη καταλόγων
Αναζήτηση συμβατοτήτων
Πίνακας Συμβατότητας Υ κέντρου
Βιβλιογραφία
Ερευνητικές ομάδες
valistab
αφίσα
συνδέσεις
χορηγούς
Συγγραφείς
Οδηγίες χρήσης
Ενημερωτικό δελτίο
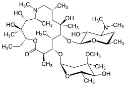
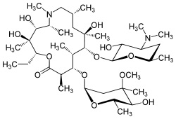
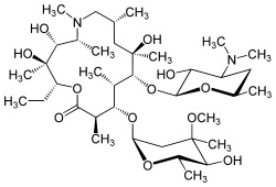
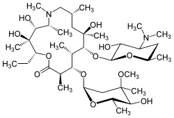
Azithromycine
χημική δομή
Σταθερότητα και συμβατότητα των φαρμάκων : Azithromycine
500 mg
Zithromax
Αιθανόλη
60% >> 25 mL
25°C
182
2894
Mentions Légales