Zadnji put ažurirano :
27/04/2026
antibiotik   Azithromycine  
masti
injekcija
Stabilnost farmaceutskih pripravaka Stabilnost mješavine Stabilizacijski faktor Kompatibilnosti Bibliografija pdf
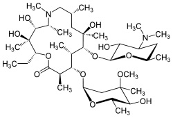
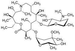
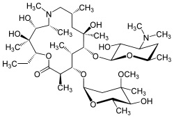
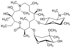
   Kemijska struktura  

masti
Stabilnost farmaceutskih pripravaka   masti   Stabilnost farmaceutskih pripravaka : Azithromycine     
Kontejner Origine pomoćna tvar temperatura Konzerviranje Trajanje stabilnosti Bibliografija
nespecifičan bočica za injekcije 500 mg
Zithromax
Etanol 60% >> 25 mL
25°C Sa i bez svjetlosti
182 dan
2894


  Mentions Légales