Senaste uppdateringen :
27/04/2026
Antibiotikum   Azithromycine  
Salvor
injektion
Stabilitet av läkemedel Stabilitet i blandningar Faktorer som påverkar stabiliteten Kompatibilitet Hänvisningar pdf
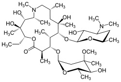
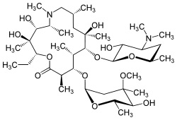
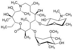
   Molekylstruktur  

Salvor
Stabilitet av läkemedel   Salvor   Stabilitet av läkemedel : Azithromycine     
Behållare Origine Hjälpämne Temperatur Förvaring Stabilitets varaktighet Hänvisningar
Ej angiven injektionsflaska 500 mg
Zithromax
Etanol 60% >> 25 mL
25°C Med eller utan ljus
182 Dag
2894


  Mentions Légales