最新更新 :
27/01/2026
抗菌薬   Azithromycine  
軟膏薬
注射薬
調剤時の安定性 混合時の安定性 安定性に影響する因子 互換性 引用文献 PDF
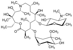
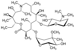
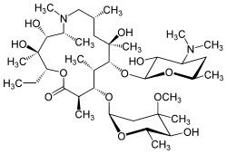
   化学構造  

軟膏薬
調剤時の安定性   軟膏薬   調剤時の安定性 : Azithromycine     
容器 Origine 添加剤 温度 保管 安定期間 引用文献
指定なし 注射用瓶 500 mg
Zithromax
エタノール 60% >> 25 mL
25°C 光/遮光
182 日
2894


  Mentions Légales