Son güncelleme :
27/04/2026
Antibiyotik   Azithromycine  
Merhem
Enjeksiyon
Farmasötik preparatlar Kararlılığı Karışımlardaki stabilitesi Stabiliteyi etkileyen faktörler Uyumluluk Kaynaklar pdf
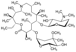
   Kimyasal yapı   

Merhem
Farmasötik preparatlar Kararlılığı   Merhem   Farmasötik preparatlar Kararlılığı : Azithromycine     
Saklama kabı Origine yardımcı madde Isı Saklama    Stabilite süresi Kaynaklar
Belirtilmemiş Enjeksiyon için ilaç şişesi 500 mg
Zithromax
Etanol 60% >> 25 mL
25°C Işıklı veya ışıksız
182 Gün
2894


  Mentions Légales