Última actualización :
27/04/2026
Antibiótico   Azithromycine  
Preparaciones tópicas
Inyectables
La estabilidad de las preparaciones farmacéuticas Estabilidad en mezcla Factores que influyen sobre la estabilidad Compatibilidades Bibliografía pdf
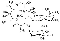
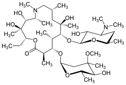
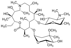
   Estructura química  

Preparaciones tópicas
La estabilidad de las preparaciones farmacéuticas   Preparaciones tópicas   La estabilidad de las preparaciones farmacéuticas : Azithromycine     
Envase Origine Excipiente Temperatura Conservación Duración de la estabilidad Bibliografía
No precisado Frasco para medicamentos inyectables 500 mg
Zithromax
Etanol 60% >> 25 mL
25°C Con o sin luz
182 Día
2894


  Mentions Légales