Pēdējā atjaunošana :
27/04/2026
Antibiotika   Azithromycine  
Ziedes
Injekcija
Stabilitāte farmaceitisko preparātu Maisījuma stabilitāte Stabilitāti ietekmējoši faktori Saderība Literatūras saraksts pdf
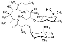
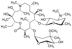
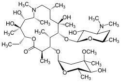
   Ķīmiskā uzbūve   

Ziedes
Stabilitāte farmaceitisko preparātu   Ziedes   Stabilitāte farmaceitisko preparātu : Azithromycine     
Iepakojums Origine Palīgviela Temperatūra Glabāšana Stabilitātes ilgums Literatūras saraksts
Nespecifisks Medicīniskā pudele injekcijām 500 mg
Zithromax
Etanols 60% >> 25 mL
25°C Ar vai bez gaismas
182 Diena
2894


  Mentions Légales