Ultimo aggiornamento :
27/04/2026
Antibiotico   Azithromycine  
Unguenti
Iniezione
Stabilità dei preparati farmaceutici Stabilità in miscela Fattori che influenzano la stabilità Compatibilità Bibliografia pdf
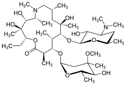
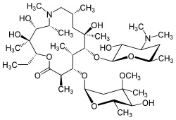
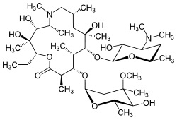
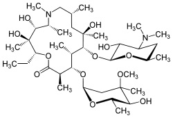
   Struttura chimica  

Unguenti
Stabilità dei preparati farmaceutici   Unguenti   Stabilità dei preparati farmaceutici : Azithromycine     
contenitore Origine eccipiente Temperatura Conservazione Durata della stabilità Bibliografia
Non precisato Bottiglia di medicina per l'iniezione 500 mg
Zithromax
Etanolo 60% >> 25 mL
25°C Con o senza luce
182 Giorno
2894


  Mentions Légales