Последно актуализиране :
27/04/2026
Антибиотик   Azithromycine  
Унгвент/Унгвенти
Инжекция/Инжекционен
Стабилност на лекарствени препарати Стабилност на смеси Фактори, повлияващи стабилността Съвместимост Библиография Pdf
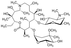
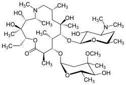
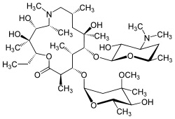
   Химична структура  

Унгвент/Унгвенти
Стабилност на лекарствени препарати   Унгвент/Унгвенти   Стабилност на лекарствени препарати : Azithromycine     
Контейнер Origine Помощно вещество Температура Съхранение Продължителност на стабилността Библиография
Не е уточнено Фпакон 500 mg
Zithromax
Етанол 60% >> 25 mL
25°C С или без светлина
182 Ден
2894


  Mentions Légales