Последнее обновление :
27/01/2026
Антибиотик   Azithromycine  
Мази
Инъекция
Стабильность фармацевтических препаратов Стабильность смесей Факторы, которые влияют на стабильность Совместимость Библиография pdf
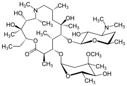
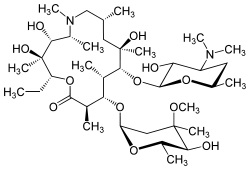
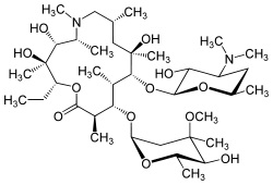
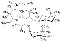
   Химическая структура  

Мази
Стабильность фармацевтических препаратов   Мази   Стабильность фармацевтических препаратов : Azithromycine     
Упаковка Origine Наполнитель Температура Хранение Продолжительность стабильности Ссылки
Не указано Медицинская бутылка для инъекций 500 mg
Zithromax
Этиловый спирт 60% >> 25 mL
25°C И на свету и в темноте
182 День
2894


  Mentions Légales