Última actualização :
27/01/2026
antibiótico   Azithromycine  
Pomadas
injetável
Estabilidade de preparações farmacêuticas Estabilidade em misturas Factores que afectam a sua estabilidade Compatibilidade Bibliografía pdf
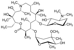
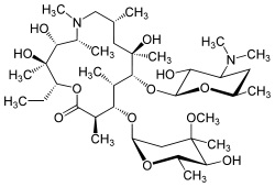
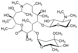
   estrutura química  

Pomadas
Estabilidade de preparações farmacêuticas   Pomadas   Estabilidade de preparações farmacêuticas : Azithromycine     
Embalagem Origine excipiente temperatura conservação Duração da estabilidade Bibliografia
no especificado frasco de medicamento para injeção 500 mg
Zithromax
Etanol 60% >> 25 mL
25°C Com ou sem luz
182 dia
2894


  Mentions Légales