Останнє оновлення :
27/01/2026
Протипухлинний препарат   Cyclophosphamide  
капсула
ін'єкція Розчин для перорального застосування
Стабільність фармацевтичних препаратів Стійкість сумішей Фактори, що впливають на стабільність Сумісність Список літератури pdf
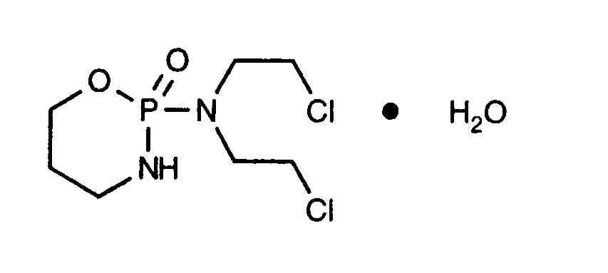
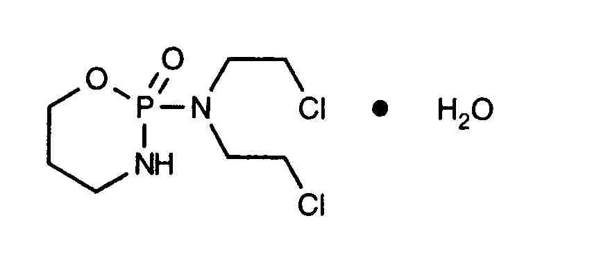
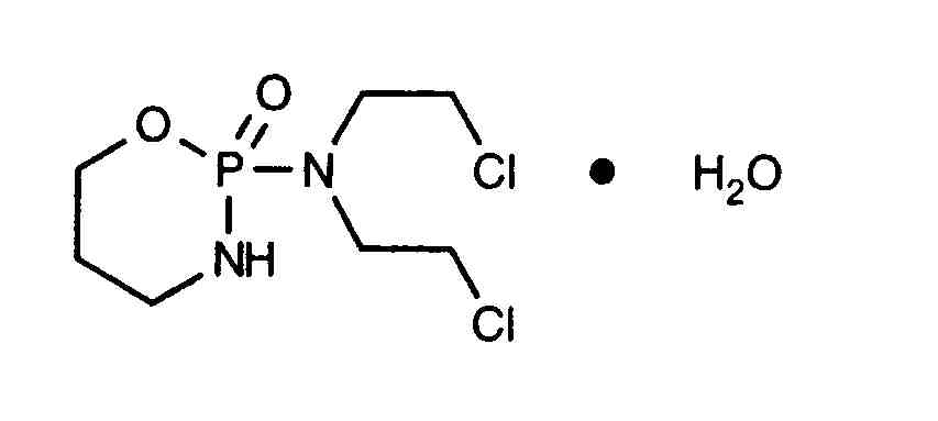
   Хімічна структура  

капсула
Сумісність   капсула   Сумісність : Cyclophosphamide              
7 / 5 000 Résultats de traduction Немає даних

  Mentions Légales