Senaste uppdateringen :
27/01/2026
cancerläkemedel   Cyclophosphamide  
Kapsel
injektion Oral lösning
Stabilitet av läkemedel Stabilitet i blandningar Faktorer som påverkar stabiliteten Kompatibilitet Hänvisningar pdf
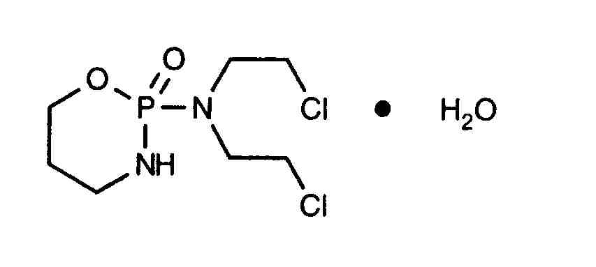
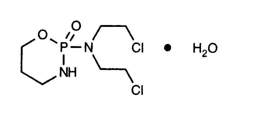
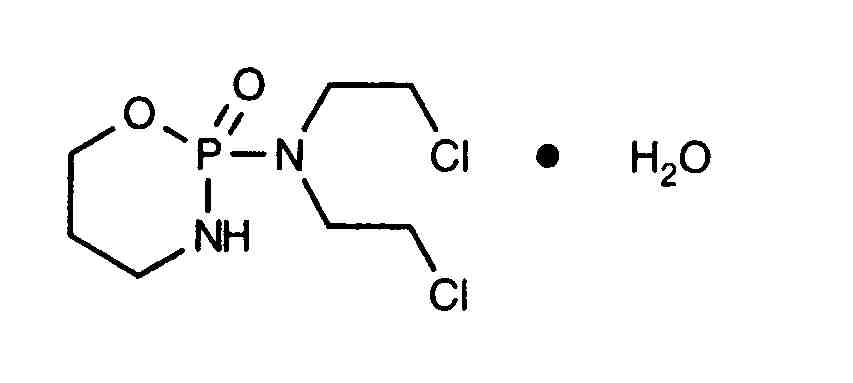
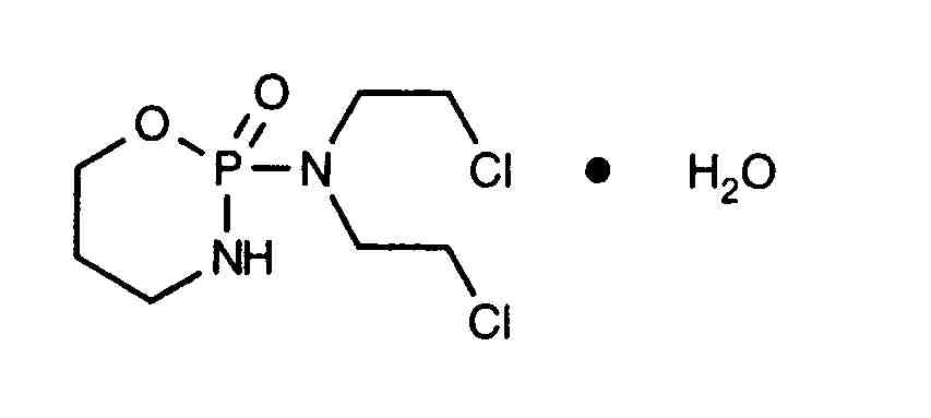
   Molekylstruktur  

Kapsel
Kompatibilitet   Kapsel   Kompatibilitet : Cyclophosphamide              
Ingen uppgift

  Mentions Légales