Letztes “update” :
27/01/2026
Antikrebsmittel   Cyclophosphamide  
Kapsel (Singular !)
Injektion Lösung zum Einnehmen
Stabilität von pharmazeutischen Präparaten Gemengestabilität Stabilitätbeeinflussende Faktoren Kompatibilitäten Literaturverzeichnis pdf
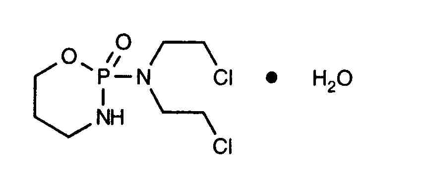
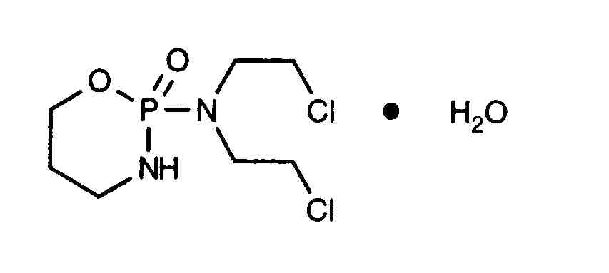
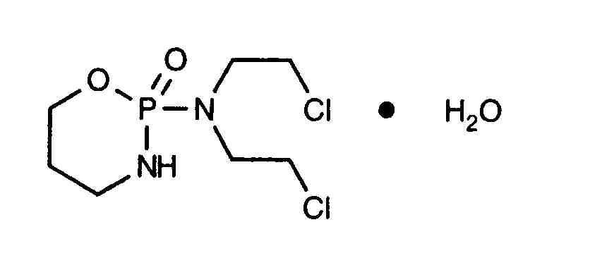
   Chemische Struktur  

Kapsel (Singular !)
Kompatibilitäten   Kapsel (Singular !)   Kompatibilitäten : Cyclophosphamide              
Keine Daten

  Mentions Légales