最新更新 :
27/01/2026
細胞増殖抑制薬   Cyclophosphamide  
カプセル
注射薬 経口液
調剤時の安定性 混合時の安定性 安定性に影響する因子 互換性 引用文献 PDF
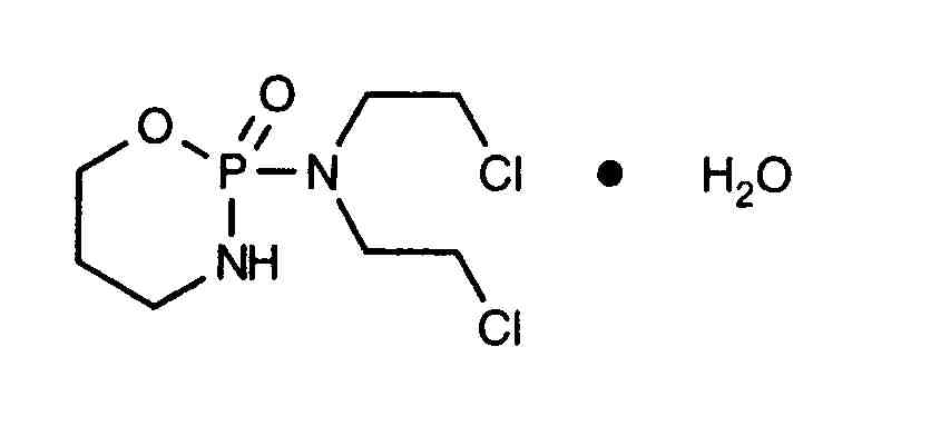
   化学構造  

カプセル
互換性   カプセル   互換性 : Cyclophosphamide              
データなし

  Mentions Légales