zadnja posodobitev :
27/01/2026
rak drog   Cyclophosphamide  
Kapsula
Brizgalka Peroralna raztopina
Stabilnost farmacevtskih preparatov Stabilnost mešanice Faktorji, ki vplivajo na stabilnost Kompatibilnost Viri pdf
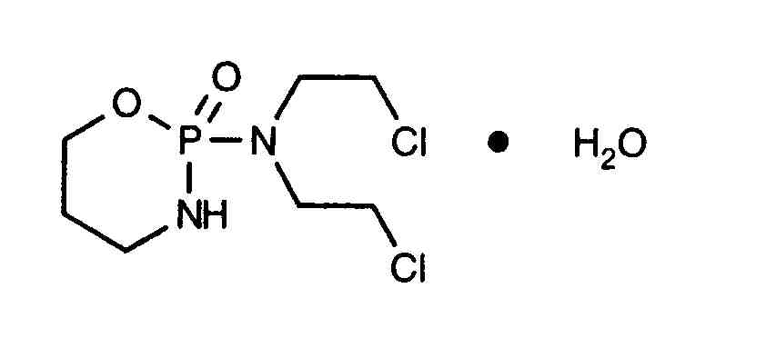
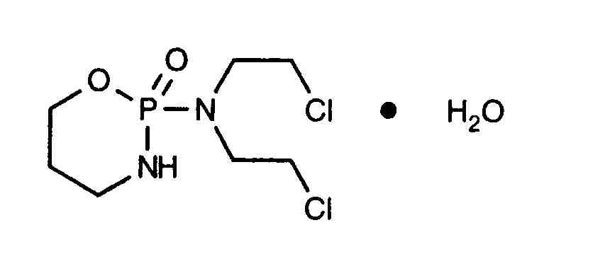
   Kemična formula  

Kapsula
Kompatibilnost   Kapsula   Kompatibilnost : Cyclophosphamide              
ni podatka

  Mentions Légales