Última actualización :
27/01/2026
fármacos contra el cáncer   Cyclophosphamide  
Cápsula
Inyectables Solución Oral
La estabilidad de las preparaciones farmacéuticas Estabilidad en mezcla Factores que influyen sobre la estabilidad Compatibilidades Bibliografía pdf
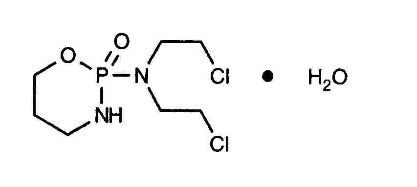
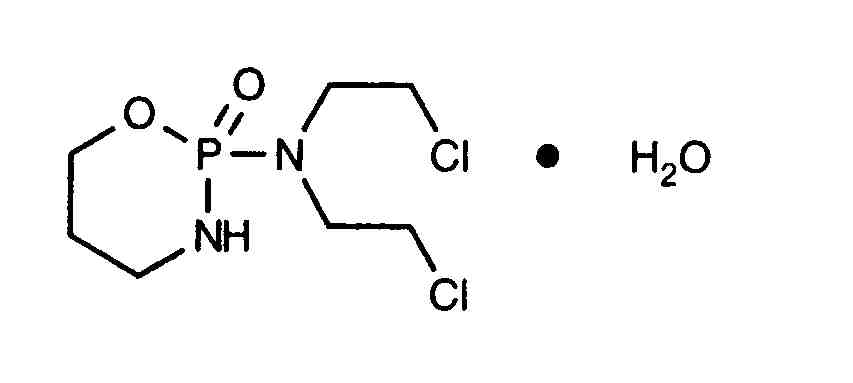
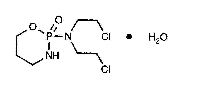
   Estructura química  

Cápsula
Compatibilidades   Cápsula   Compatibilidades : Cyclophosphamide              
Ausencia de datos

  Mentions Légales