viimane versioon :
27/01/2026
vähiravimite   Cyclophosphamide  
kapsel
Süsteravim suukaudne lahus
Stabiilsust ravimpreparaadid Stabiilsust mõjutavad tegurid stabiilsust mõjutavad faktorid Sobimatus Viited pdf
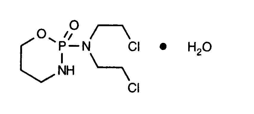
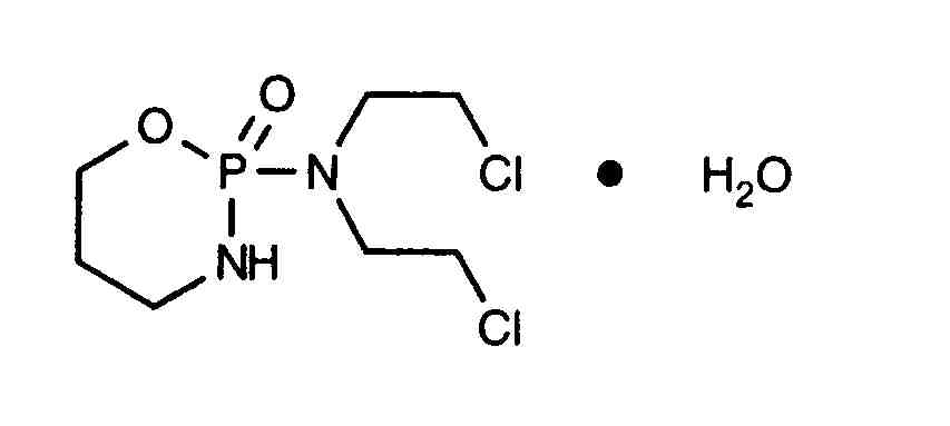
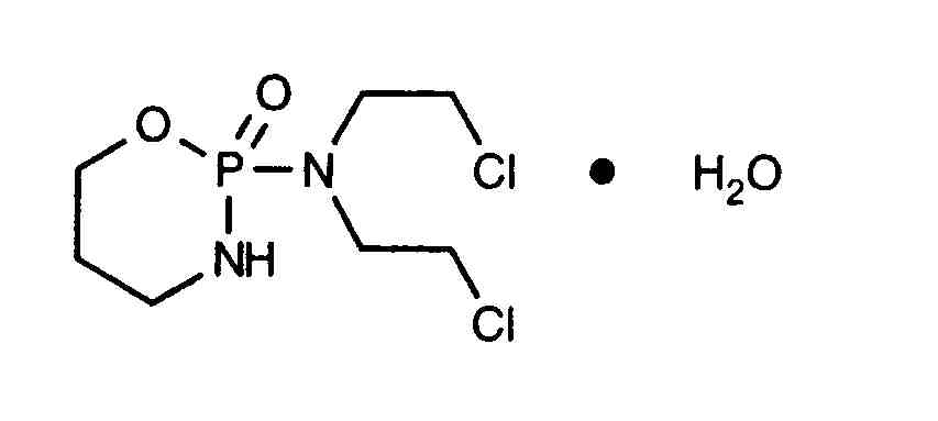
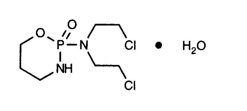
   keemiline struktuur  

kapsel
Sobimatus   kapsel   Sobimatus : Cyclophosphamide              
andmed puuduvad

  Mentions Légales