Siste oppdatering :
27/01/2026
kreft narkotika   Cyclophosphamide  
Kapsel
Injeksjon Mikstur
Stabilitet av farmasøytiske preparater Stabilitet i blandinger Faktorer som påvirker stabiliteten Kompatibilitet Referanser pdf
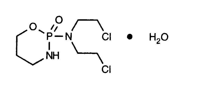
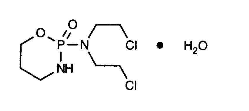
   Kjemisk struktur  

Kapsel
Kompatibilitet   Kapsel   Kompatibilitet : Cyclophosphamide              
Ingen opplysninger

  Mentions Légales