Posledná aktualizácia :
27/01/2026
Protinádorová liečba   Cyclophosphamide  
Kapsula
Injekcia Perorálny roztok
Stabilita farmaceutických prípravkov Stabilita v zmesiach Faktory ovplyvňujúce stabilitu Kompatibility Odkazy na literatúru PDF
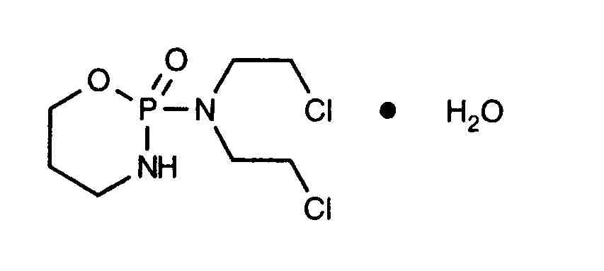
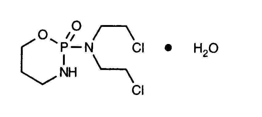
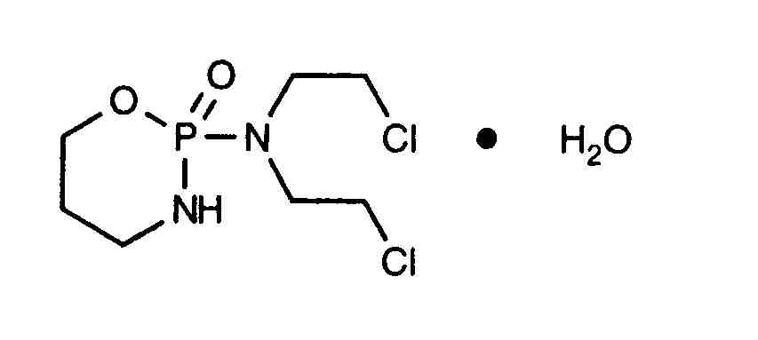
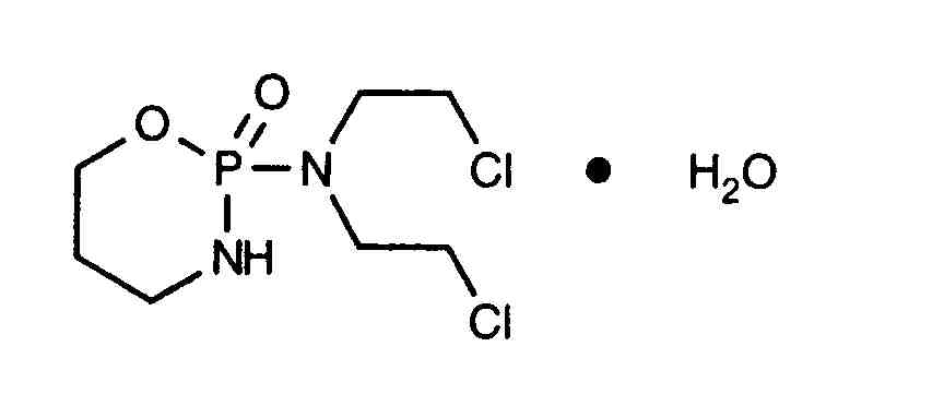
   Chemický vzorec  

Kapsula
Kompatibility   Kapsula   Kompatibility : Cyclophosphamide              
žiadne údaje

  Mentions Légales