Laatste update :
27/01/2026
geneesmiddel tegen kanker   Cyclophosphamide  
Capsule
injecteerbaar geneesmiddel Orale Oplossing
Stabiliteit van farmaceutische preparaten Stabiliteit in mengsels Factoren die de stabiliteit beïnvloeden Verenigbaarheden Literatuur pdf
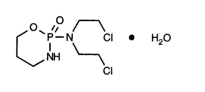
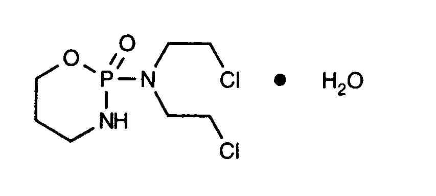
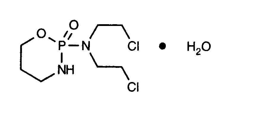
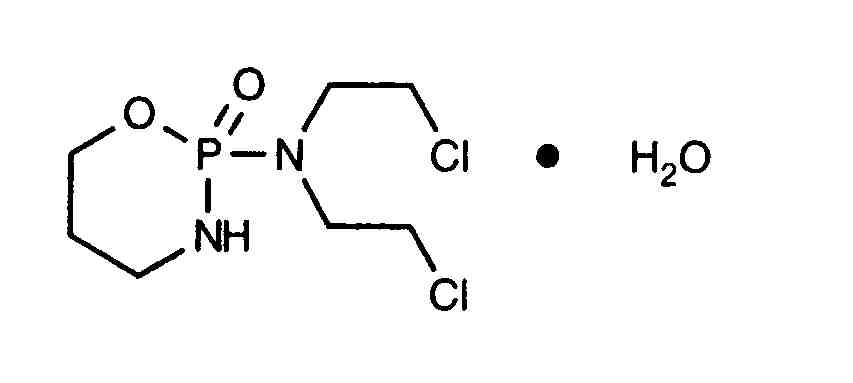
   Molecuulstructuur  

Capsule
Verenigbaarheden   Capsule   Verenigbaarheden : Cyclophosphamide              
geen gegevens

  Mentions Légales