Son güncelleme :
27/01/2026
kanser ilaç   Cyclophosphamide  
Kapsül
Enjeksiyon Oral solüsyon / oral çözelti
Farmasötik preparatlar Kararlılığı Karışımlardaki stabilitesi Stabiliteyi etkileyen faktörler Uyumluluk Kaynaklar pdf
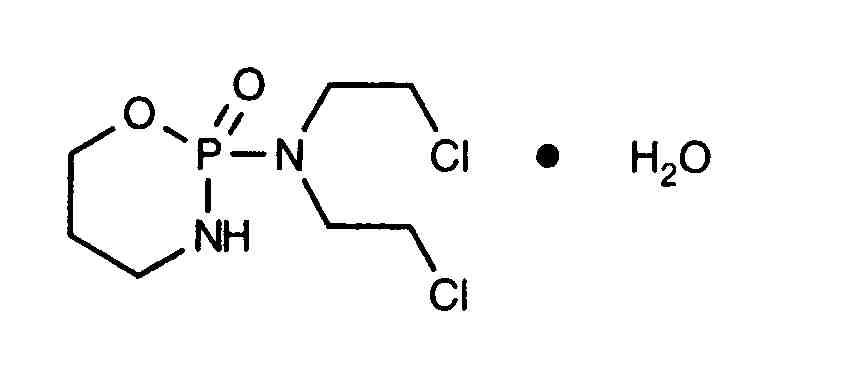
   Kimyasal yapı   

Kapsül
Uyumluluk   Kapsül   Uyumluluk : Cyclophosphamide              
veri yok

  Mentions Légales