Seneste opdatering :
27/01/2026
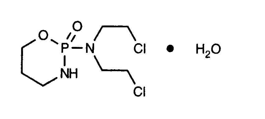
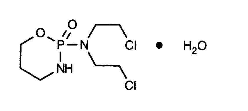
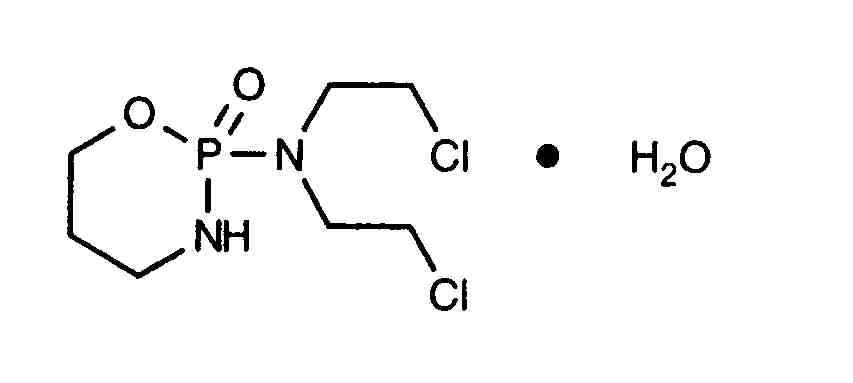
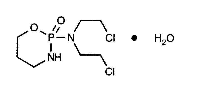
anticancer medicin   Cyclophosphamide  
Kapsel
Injektion Oral opløsning
Stabilitet af farmaceutiske tilberedninger Stabilitet i blandinger Faktorer der påvirker stabiliteten Kompatibilitet Bibliografi pdf
   Kemisk struktur  

Kapsel
Kompatibilitet   Kapsel   Kompatibilitet : Cyclophosphamide              
Ingen data

  Mentions Légales