Last update :
27/01/2026
Anticancer drug   Cyclophosphamide  
Capsule
injection Oral solution
Stability of pharmaceutical preparations Stability of mixtures Factors which affect stability Compatibility References pdf
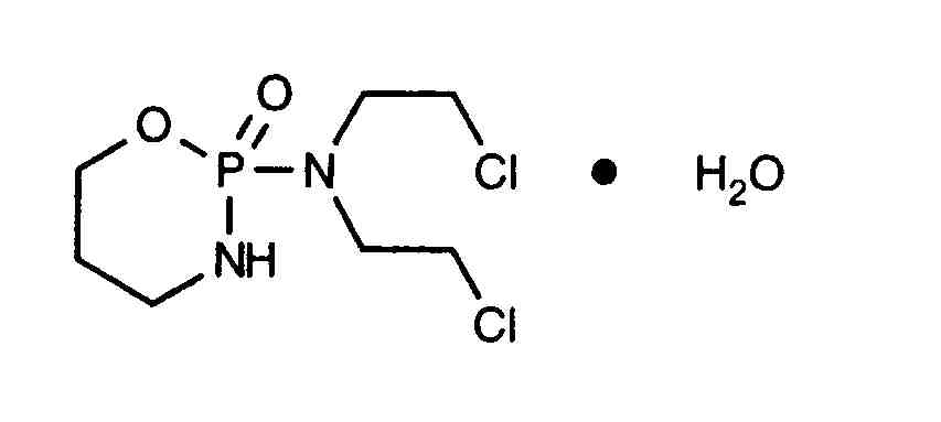
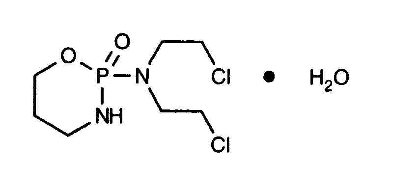
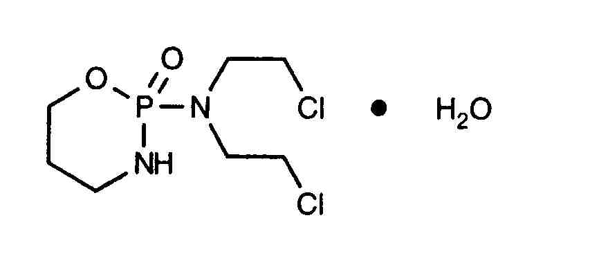
   Chemical structure  

Capsule
Compatibility   Capsule   Compatibility : Cyclophosphamide              
No data

  Mentions Légales