Cập nhật lần cuối :
27/04/2026
Kháng sinh   Netilmicin sulfate   
Khí dung
Dạng tiêm
Tính ổn định của các chế phẩm Độ ổn định khi trộn lẫn Những yếu tố ảnh hưởng đến độ ổn định Khả năng tương thích Tài liệu tham khảo Pdf
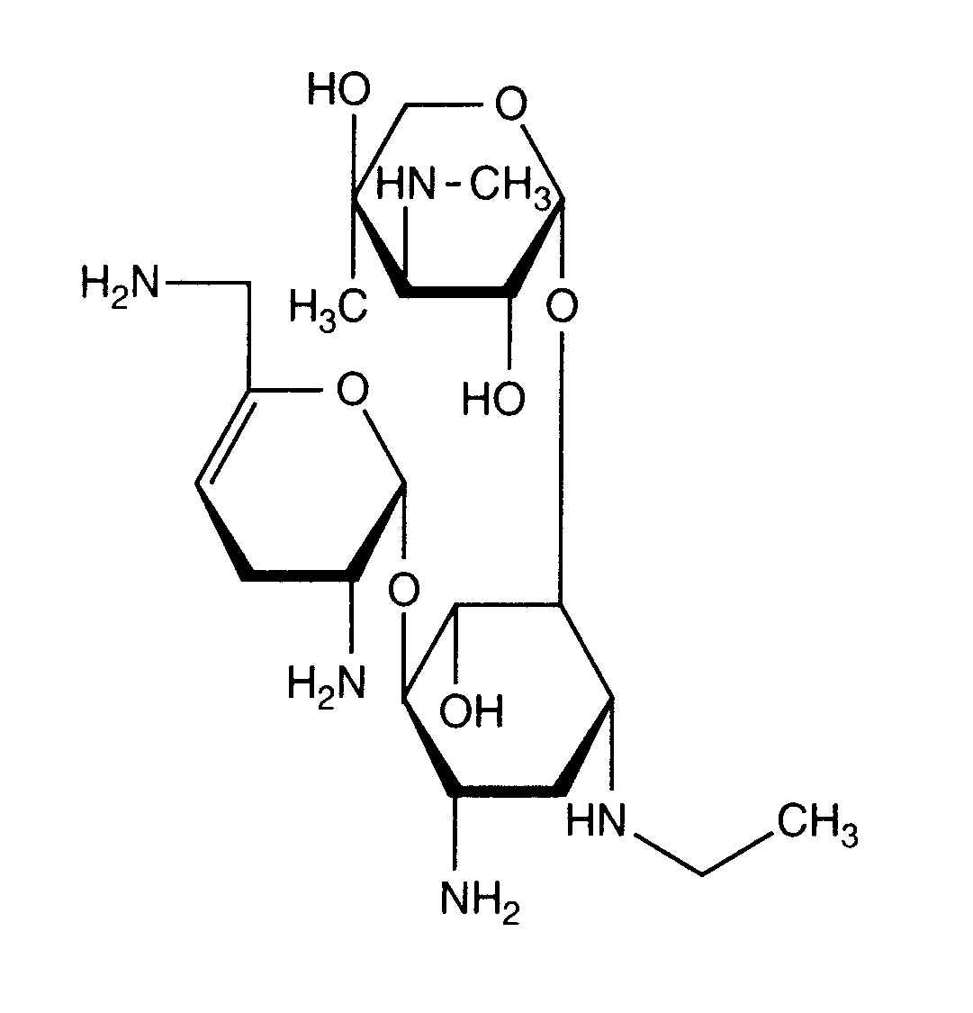
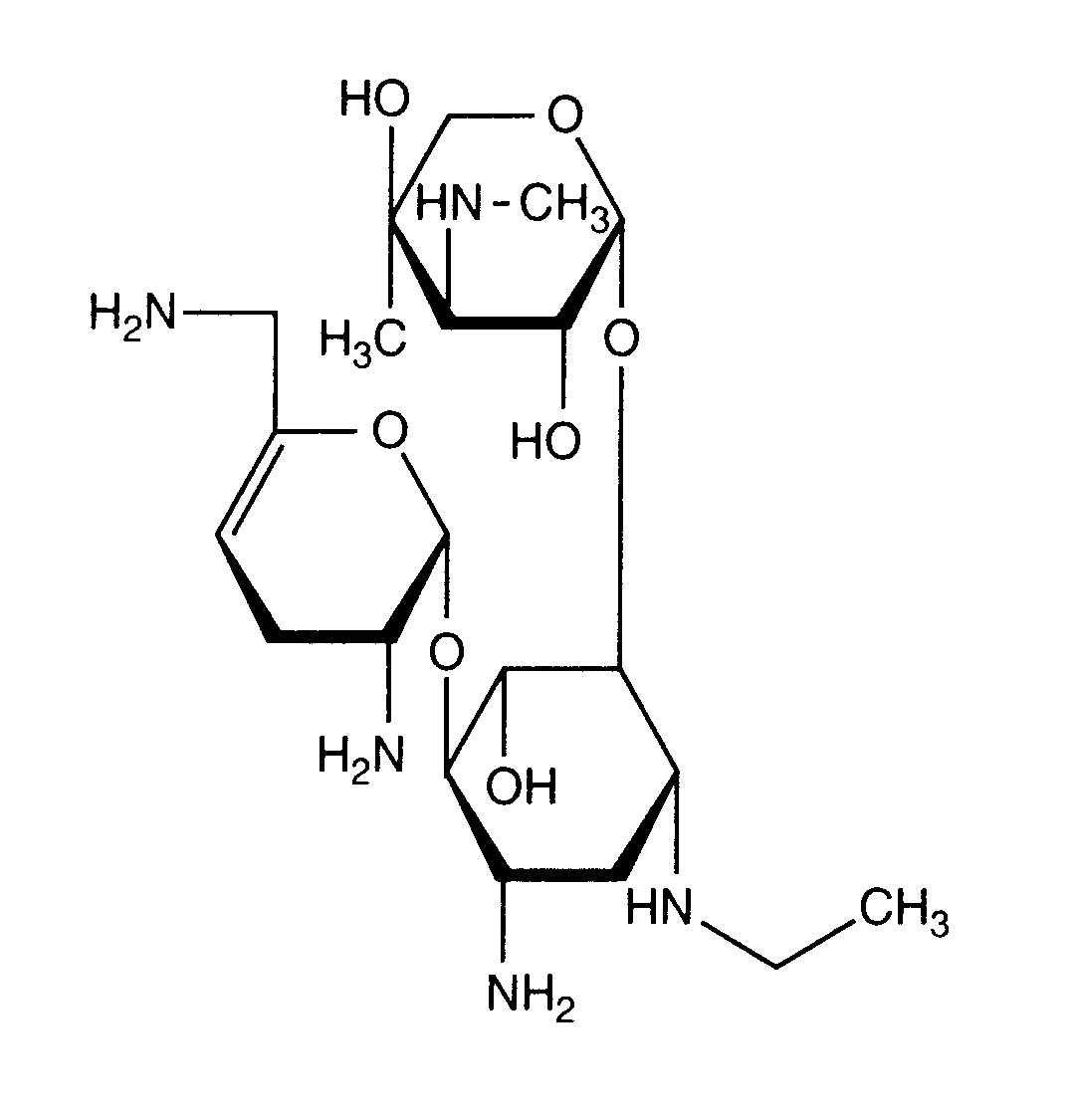
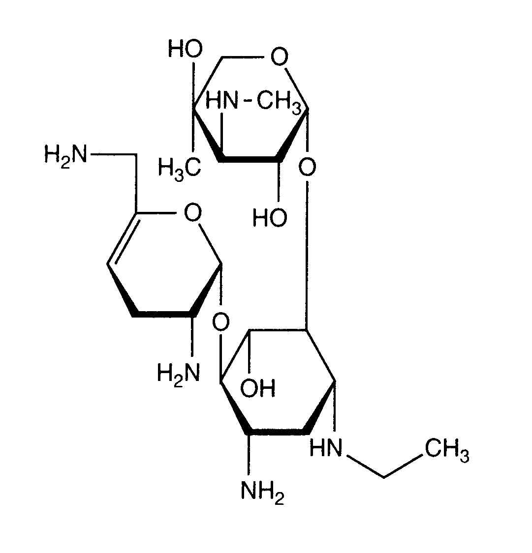
   Cấu trúc hóa học  

Khí dung
Độ ổn định khi trộn lẫn   Khí dung   Độ ổn định khi trộn lẫn : Netilmicin sulfate      
Bao bì Tá dược Phân tử Nhiệt độ Bảo quản Thời gian ổn định Mục lục
Không rõ
Không có
Khí dung   Netilmicin sulfate Lọ thuốc tiêm1000 mg   Netromicine®
Khí dung   Betamethasone sodium phosphate Lọ thuốc tiêm8 mg = 2  Celestene®
Khí dung   N-acetylcysteine Lọ thuốc tiêm100 mg =  Mucomyst®
23-27°C
1 Giờ
Ánh sáng 2648

  Mentions Légales