viimane versioon :
27/04/2026
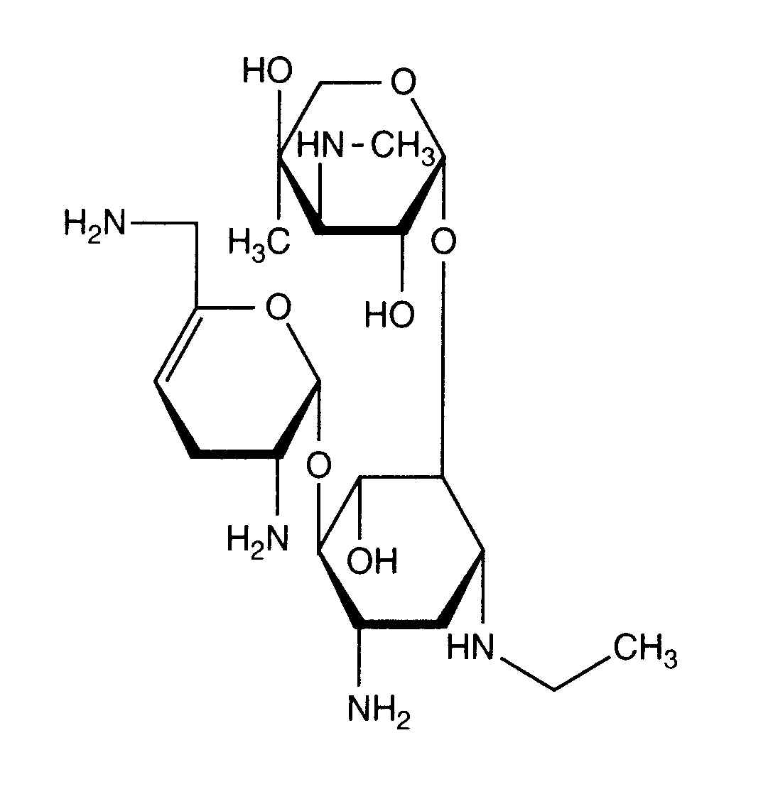
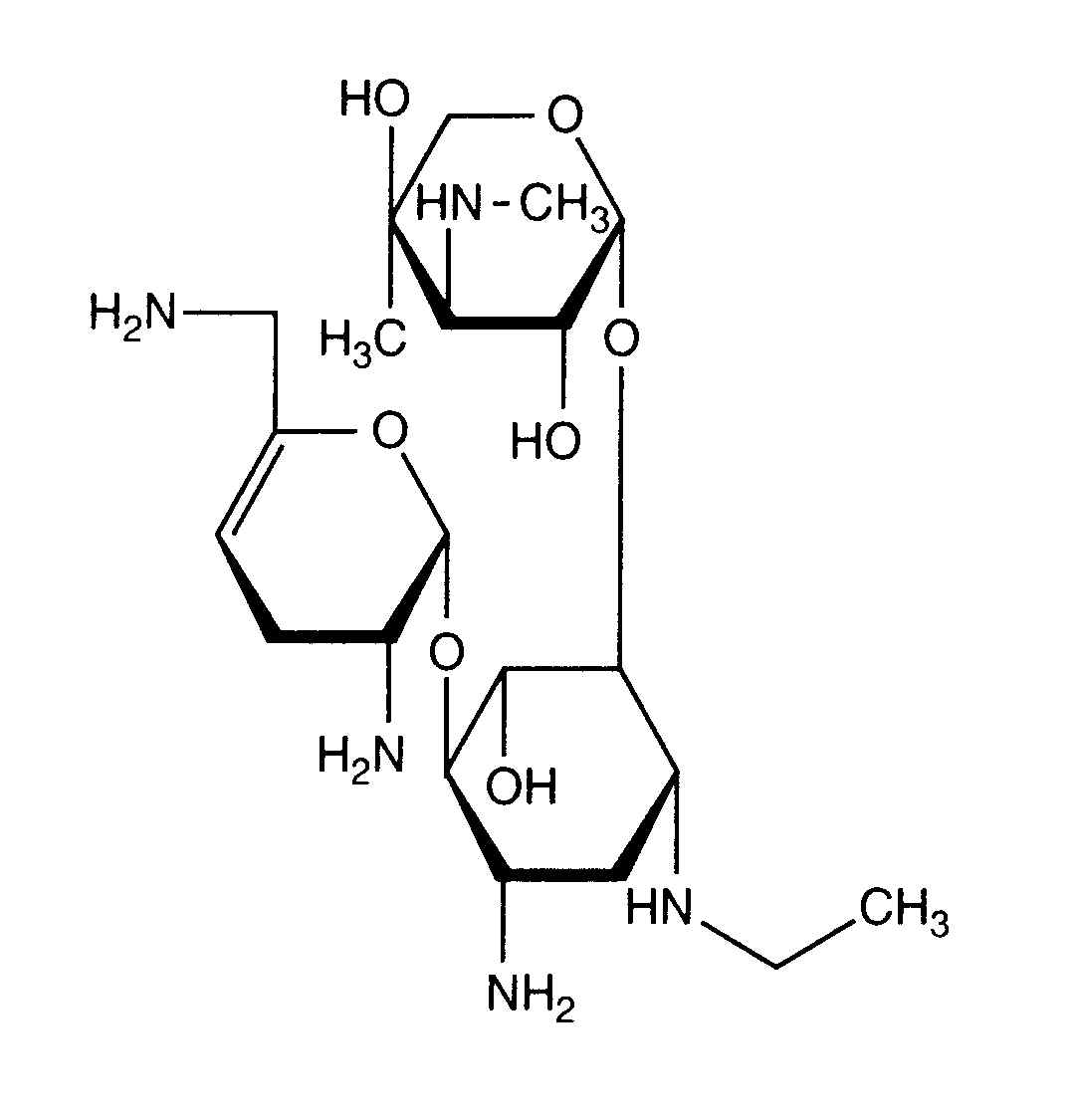
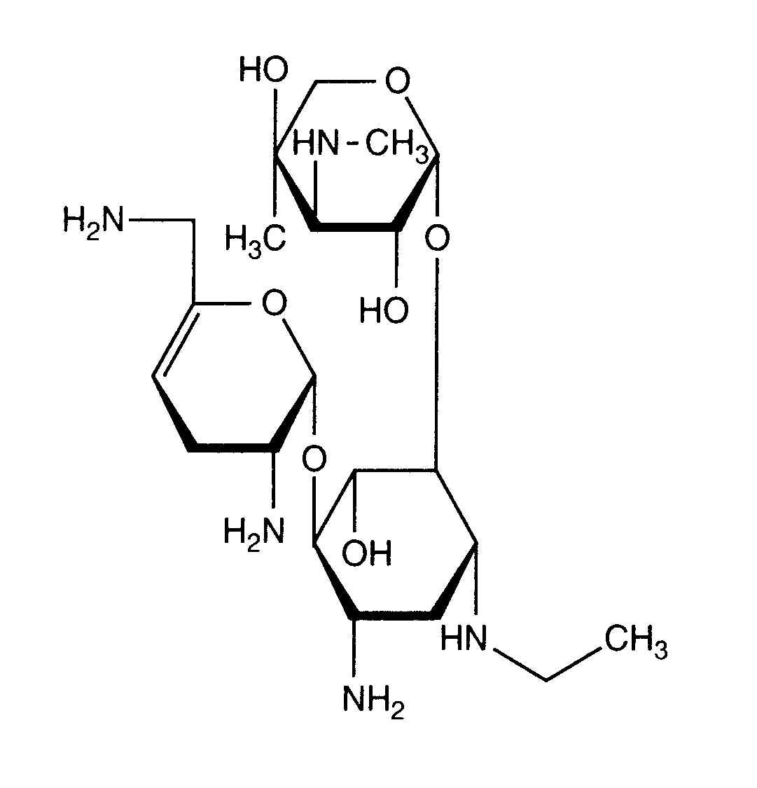
antibiootikum   Netilmicin sulfate   
aerosool
Süsteravim
Stabiilsust ravimpreparaadid Stabiilsust mõjutavad tegurid stabiilsust mõjutavad faktorid Sobimatus Viited pdf
   keemiline struktuur  

aerosool
Stabiilsust mõjutavad tegurid   aerosool   Stabiilsust mõjutavad tegurid : Netilmicin sulfate      
konteiner  abiaine ingredient temperatuur ladustamine Stabiilsuse kestus Viited
pole täpsustatud
ei
aerosool   Netilmicin sulfate Süsteravimi viaal1000 mg   Netromicine®
aerosool   Betamethasone sodium phosphate Süsteravimi viaal8 mg = 2  Celestene®
aerosool   N-acetylcysteine Süsteravimi viaal100 mg =  Mucomyst®
23-27°C
1 Tund
valgus 2648

  Mentions Légales