Dernière mise à jour :
27/04/2026
Antibiotique   Netilmicin sulfate   
Aérosol
injectable
Stabilité des préparations Stabilité en mélange Facteur influençant la stabilité Compatibilités Bibliographie pdf
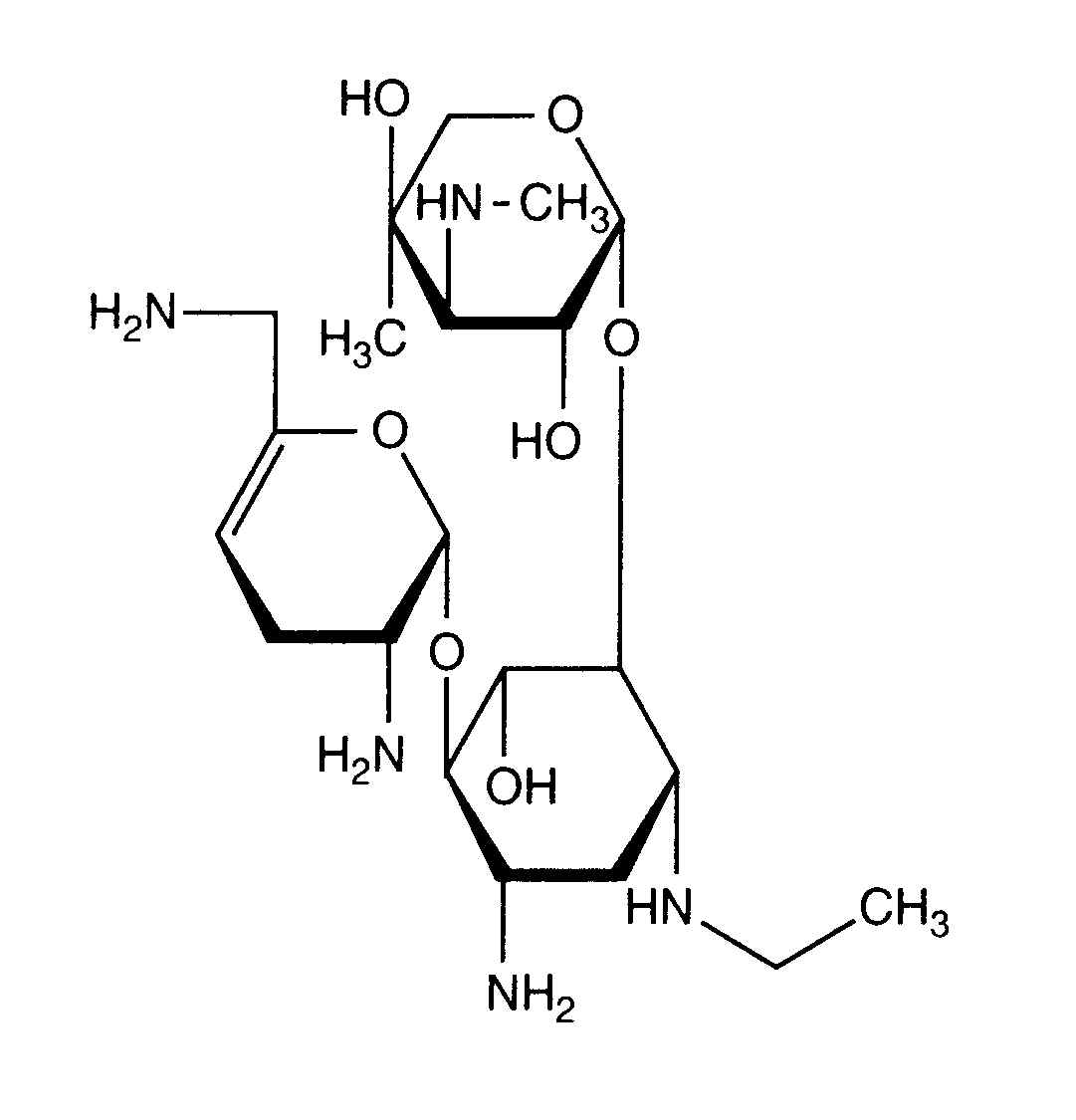
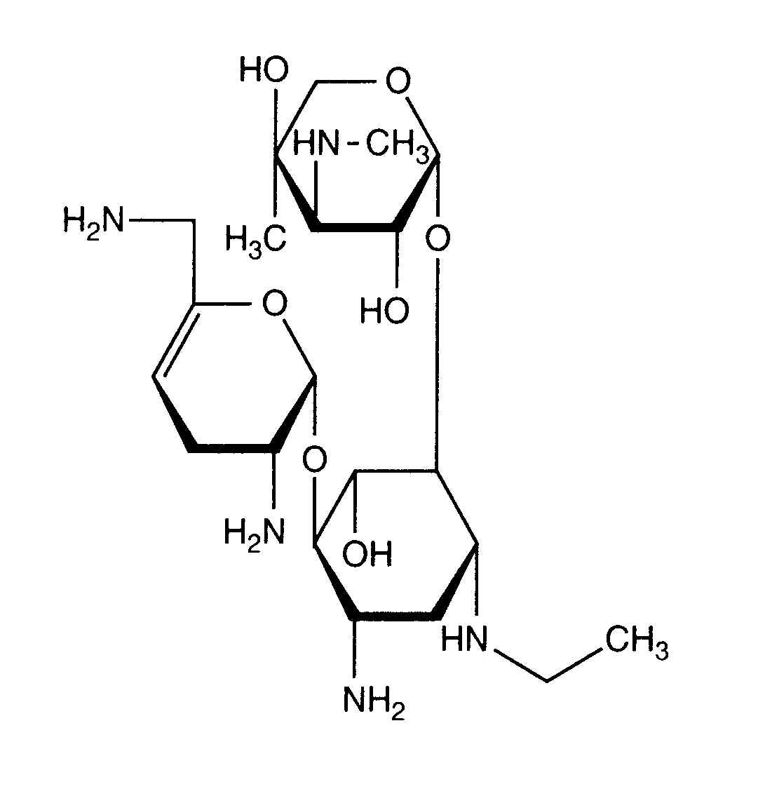
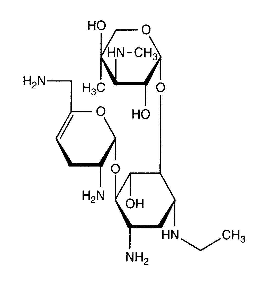
   Structure chimique  

Aérosol
Stabilité en mélange   Aérosol   Stabilité en mélange : Netilmicin sulfate      
Contenant Excipient Molécule Température Conservation Durée de stabilité Bibliographie
Non précisé
Aucun
Aérosol   Netilmicin sulfate Flacon injectable1000 mg   Netromicine®
Aérosol   Betamethasone sodium phosphate Flacon injectable8 mg = 2  Celestene®
Aérosol   N-acetylcysteine Flacon injectable100 mg =  Mucomyst®
23-27°C
1 Heure
Lumière 2648

  Mentions Légales