Poslední aktualizace :
27/04/2026
Antibiotikas   Netilmicin sulfate   
Aerozolis
Įpurškimas
Stabilumas farmacinių preparatų Mišinių stabilumas Stabilumą lemiantys veiksniai Suderinamumas Bibliografija pdf
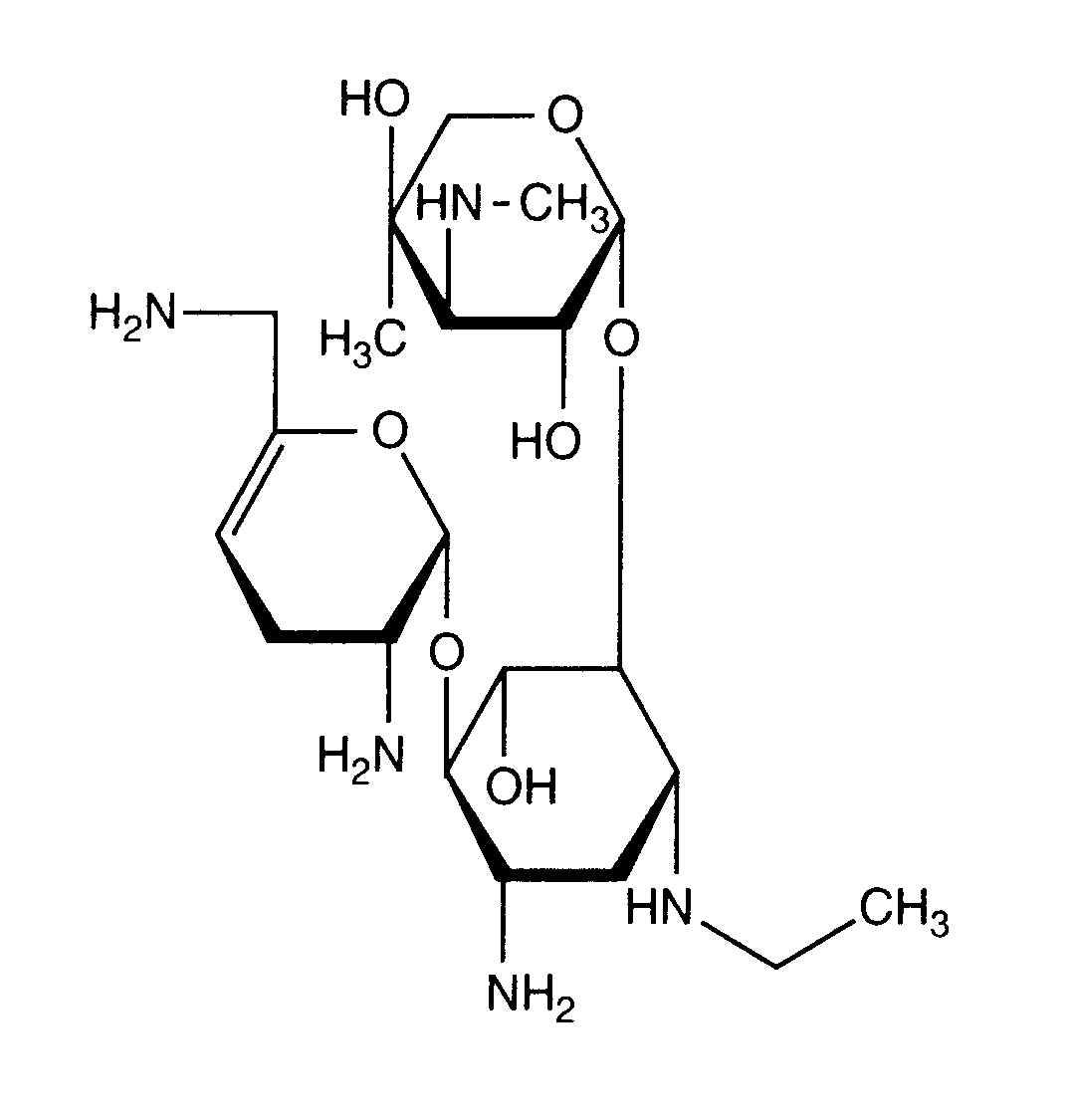
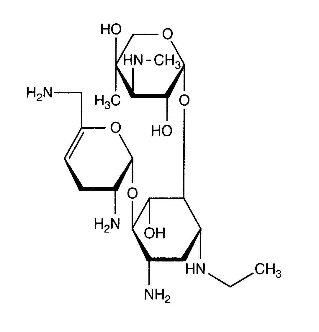
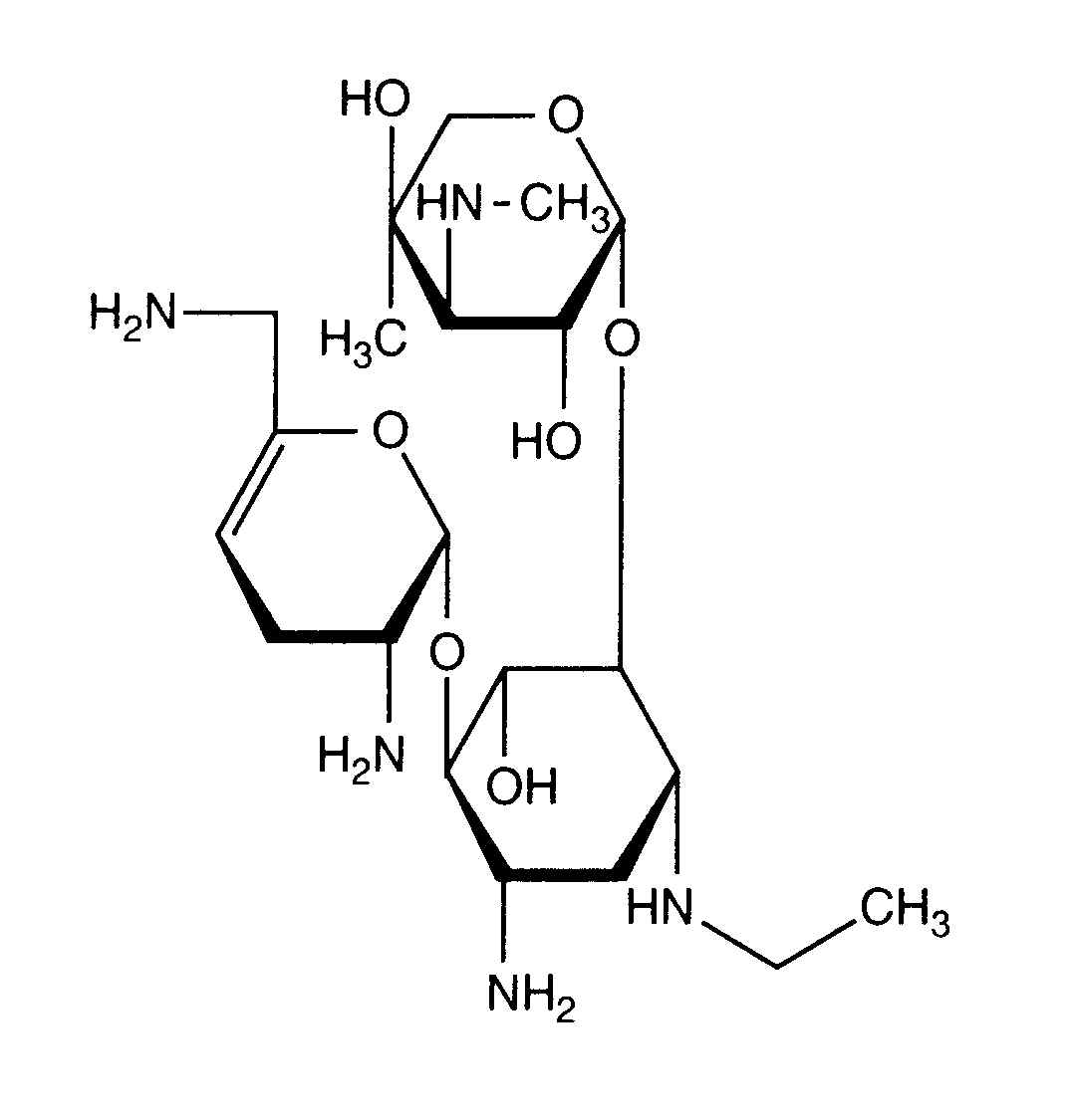
   Cheminė sandara  

Aerozolis
Mišinių stabilumas   Aerozolis   Mišinių stabilumas : Netilmicin sulfate      
Pakuotė Ekscipientas Molekulė Temperatūra Laikymas Stabilumo trukmė Nuorodos
Nenurodyta
Nėra
Aerozolis   Netilmicin sulfate Vaistų buteliukas injekcijoms1000 mg   Netromicine®
Aerozolis   Betamethasone sodium phosphate Vaistų buteliukas injekcijoms8 mg = 2  Celestene®
Aerozolis   N-acetylcysteine Vaistų buteliukas injekcijoms100 mg =  Mucomyst®
23-27°C
1 Valanda
Šviesa 2648

  Mentions Légales