最新更新 :
27/04/2026
抗菌薬   Netilmicin sulfate   
エアロゾル
注射薬
調剤時の安定性 混合時の安定性 安定性に影響する因子 互換性 引用文献 PDF
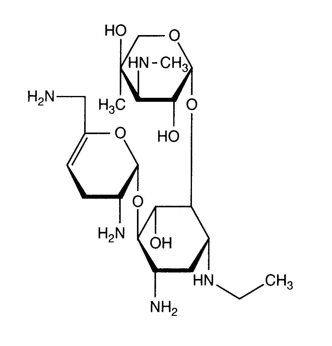
   化学構造  

エアロゾル
混合時の安定性   エアロゾル   混合時の安定性 : Netilmicin sulfate      
容器 添加剤 化合物 温度 保管 安定期間 引用文献
指定なし
なし
エアロゾル   Netilmicin sulfate 注射用瓶1000 mg   Netromicine®
エアロゾル   Betamethasone sodium phosphate 注射用瓶8 mg = 2  Celestene®
エアロゾル   N-acetylcysteine 注射用瓶100 mg =  Mucomyst®
23-27°C
1 時間
光 2648

  Mentions Légales