Última actualização :
27/04/2026
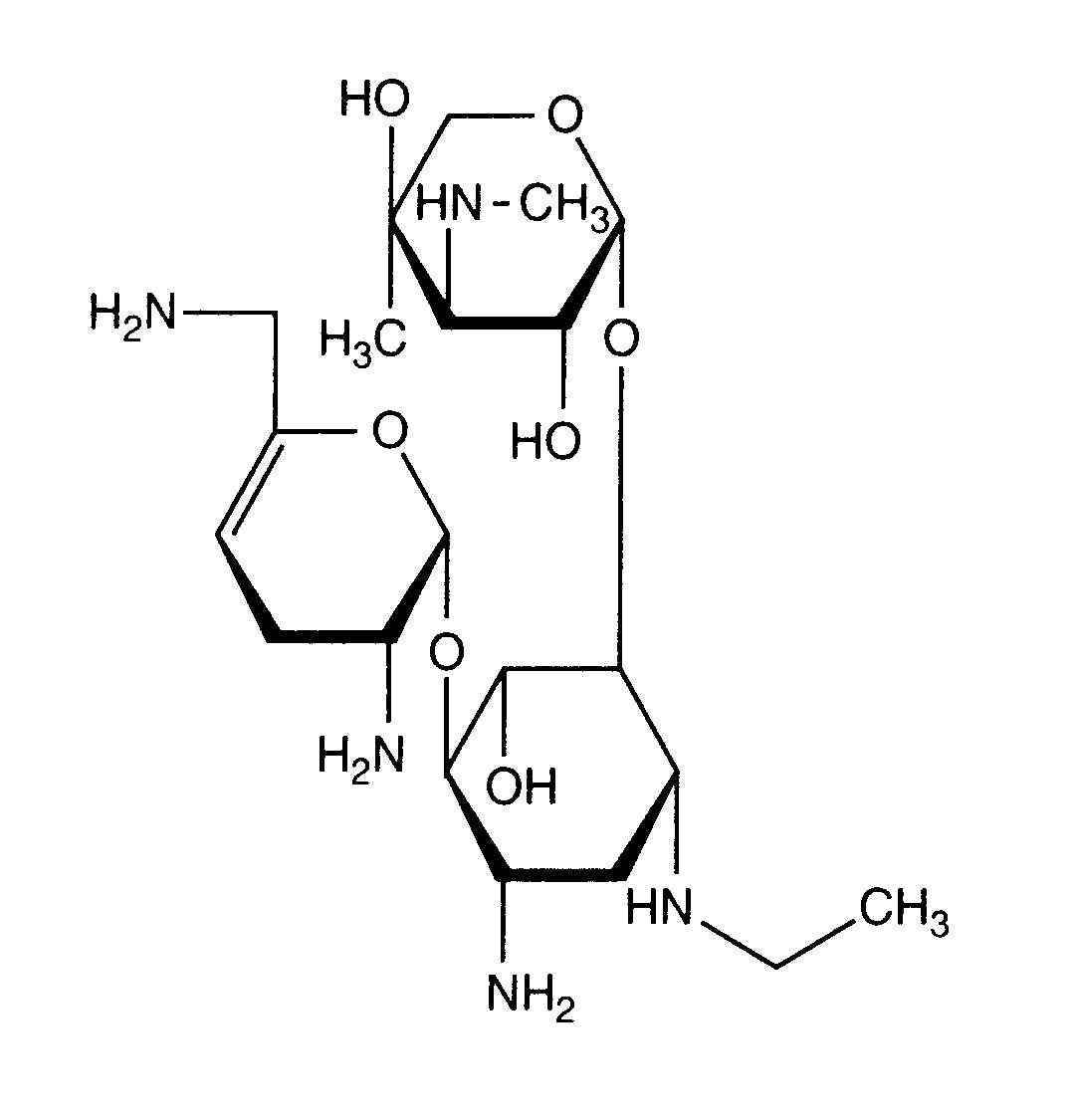
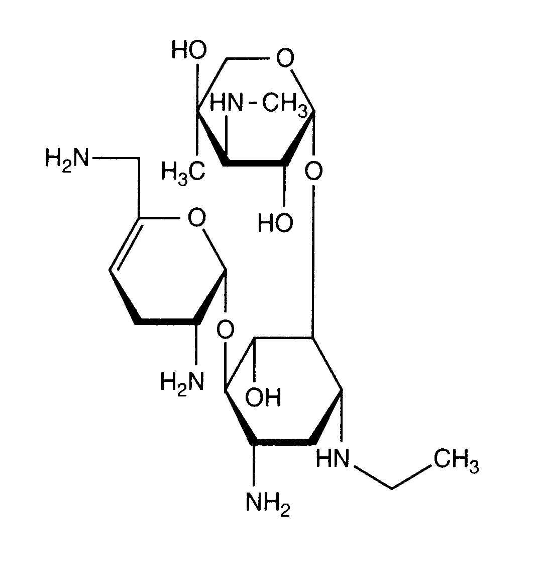
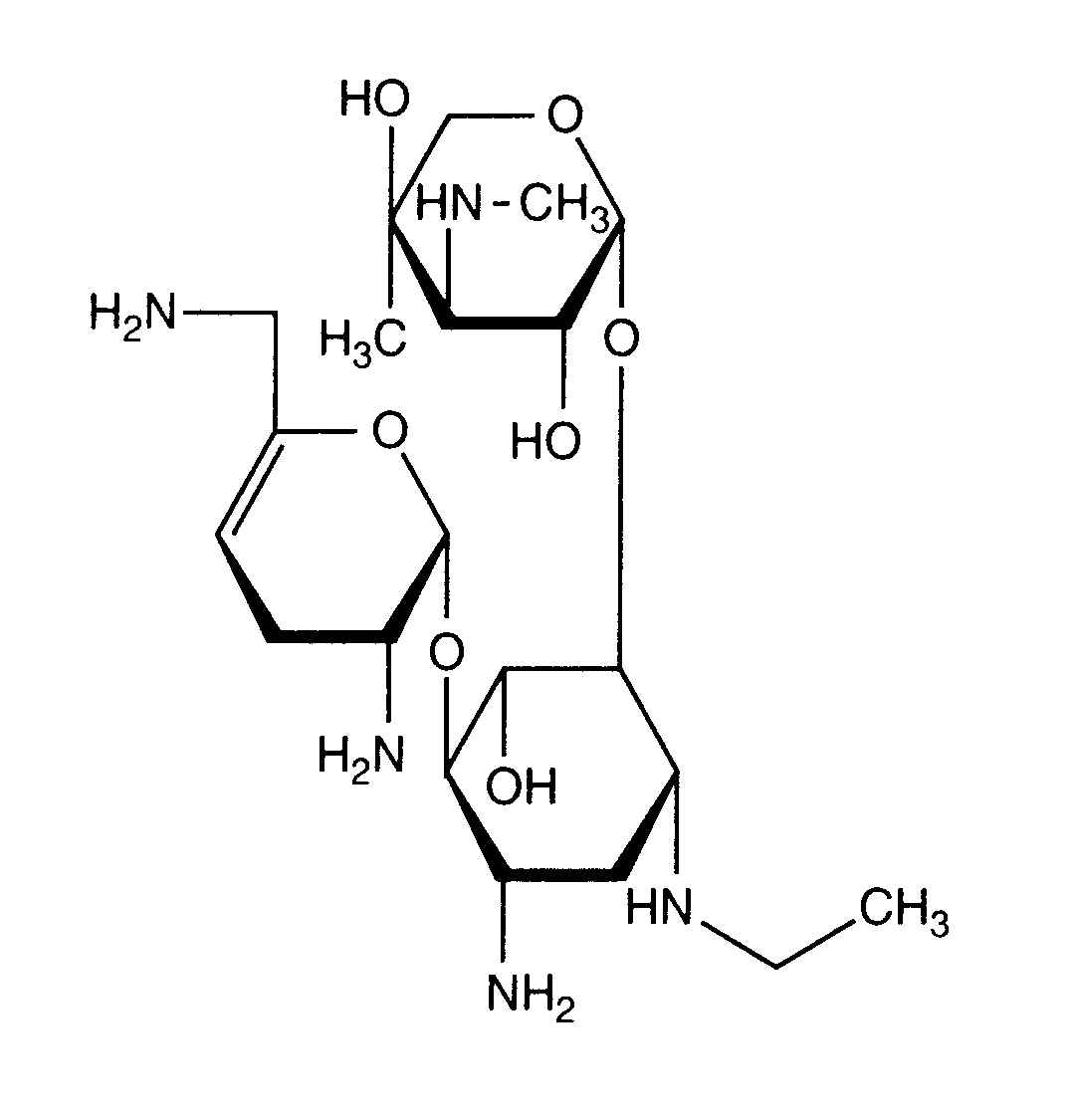
antibiótico   Netilmicin sulfate   
aerossol
injetável
Estabilidade de preparações farmacêuticas Estabilidade em misturas Factores que afectam a sua estabilidade Compatibilidade Bibliografía pdf
   estrutura química  

aerossol
Estabilidade em misturas   aerossol   Estabilidade em misturas : Netilmicin sulfate      
Embalagem excipiente molécula temperatura conservação Duração da estabilidade Bibliografia
no especificado
nenhum
aerossol   Netilmicin sulfate frasco de medicamento para injeção1000 mg   Netromicine®
aerossol   Betamethasone sodium phosphate frasco de medicamento para injeção8 mg = 2  Celestene®
aerossol   N-acetylcysteine frasco de medicamento para injeção100 mg =  Mucomyst®
23-27°C
1 hora
luz 2648

  Mentions Légales