Laatste update :
27/04/2026
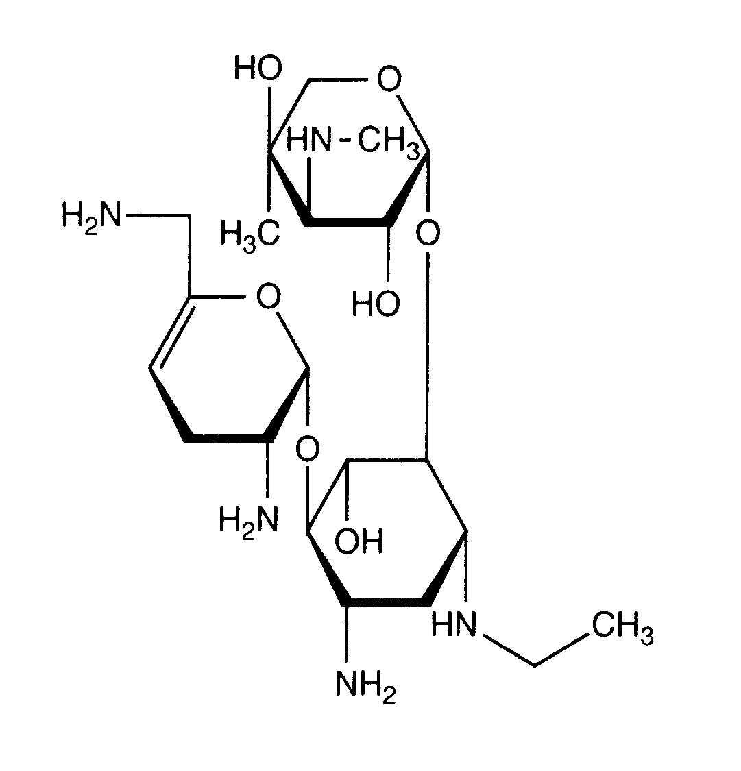
Antibioticum   Netilmicin sulfate   
Aerosol
injecteerbaar geneesmiddel
Stabiliteit van farmaceutische preparaten Stabiliteit in mengsels Factoren die de stabiliteit beïnvloeden Verenigbaarheden Literatuur pdf
   Molecuulstructuur  

Aerosol
Stabiliteit in mengsels   Aerosol   Stabiliteit in mengsels : Netilmicin sulfate      
Verpakking  ikˈsipēənt hulpstof Stof Temperatuur Bewaring Duur van de stabiliteit Literatuur
Niet gespecificeerd
Geen
Aerosol   Netilmicin sulfate Geneeskunde fles voor injectie1000 mg   Netromicine®
Aerosol   Betamethasone sodium phosphate Geneeskunde fles voor injectie8 mg = 2  Celestene®
Aerosol   N-acetylcysteine Geneeskunde fles voor injectie100 mg =  Mucomyst®
23-27°C
1 Uur
Licht 2648

  Mentions Légales