最新更新 :
27/04/2026
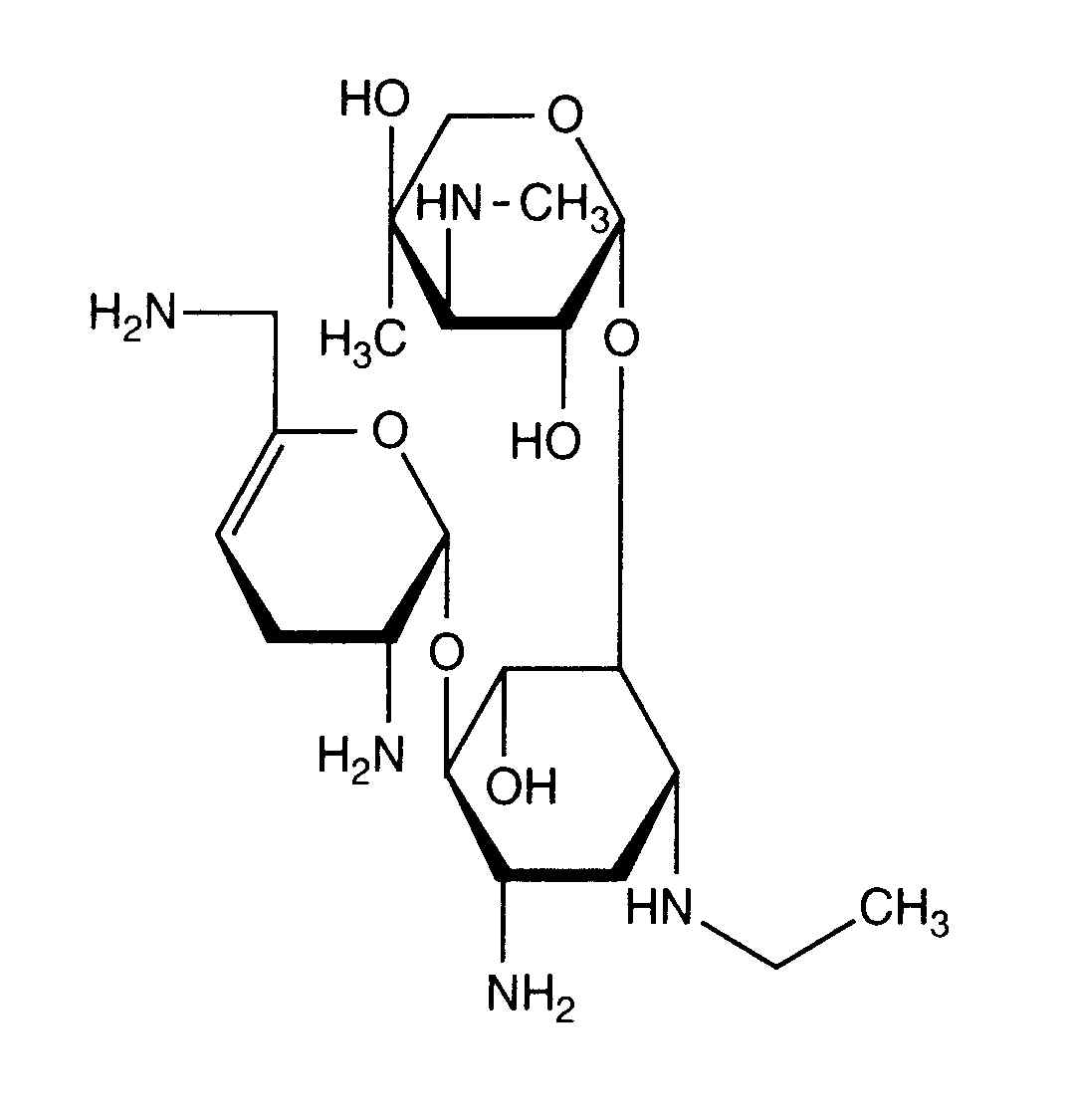
抗生素   Netilmicin sulfate   
气雾剂
注射液
制剂的稳定性 混合物稳定性 影响稳定性的因素 兼容性 引用文献 PDF
   化学式  

气雾剂
混合物稳定性   气雾剂   混合物稳定性 : Netilmicin sulfate      
容器 添加剂 分子 温度 保存 穩定持續時間 引用文献
不详
气雾剂   Netilmicin sulfate 注射用瓶1000 mg   Netromicine®
气雾剂   Betamethasone sodium phosphate 注射用瓶8 mg = 2  Celestene®
气雾剂   N-acetylcysteine 注射用瓶100 mg =  Mucomyst®
23-27°C
1 小时
光 2648

  Mentions Légales