Ultimo aggiornamento :
27/04/2026
Antibiotico   Netilmicin sulfate   
Aerosol
Iniezione
Stabilità dei preparati farmaceutici Stabilità in miscela Fattori che influenzano la stabilità Compatibilità Bibliografia pdf
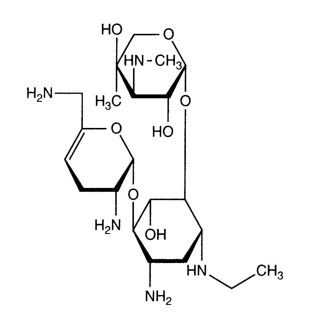
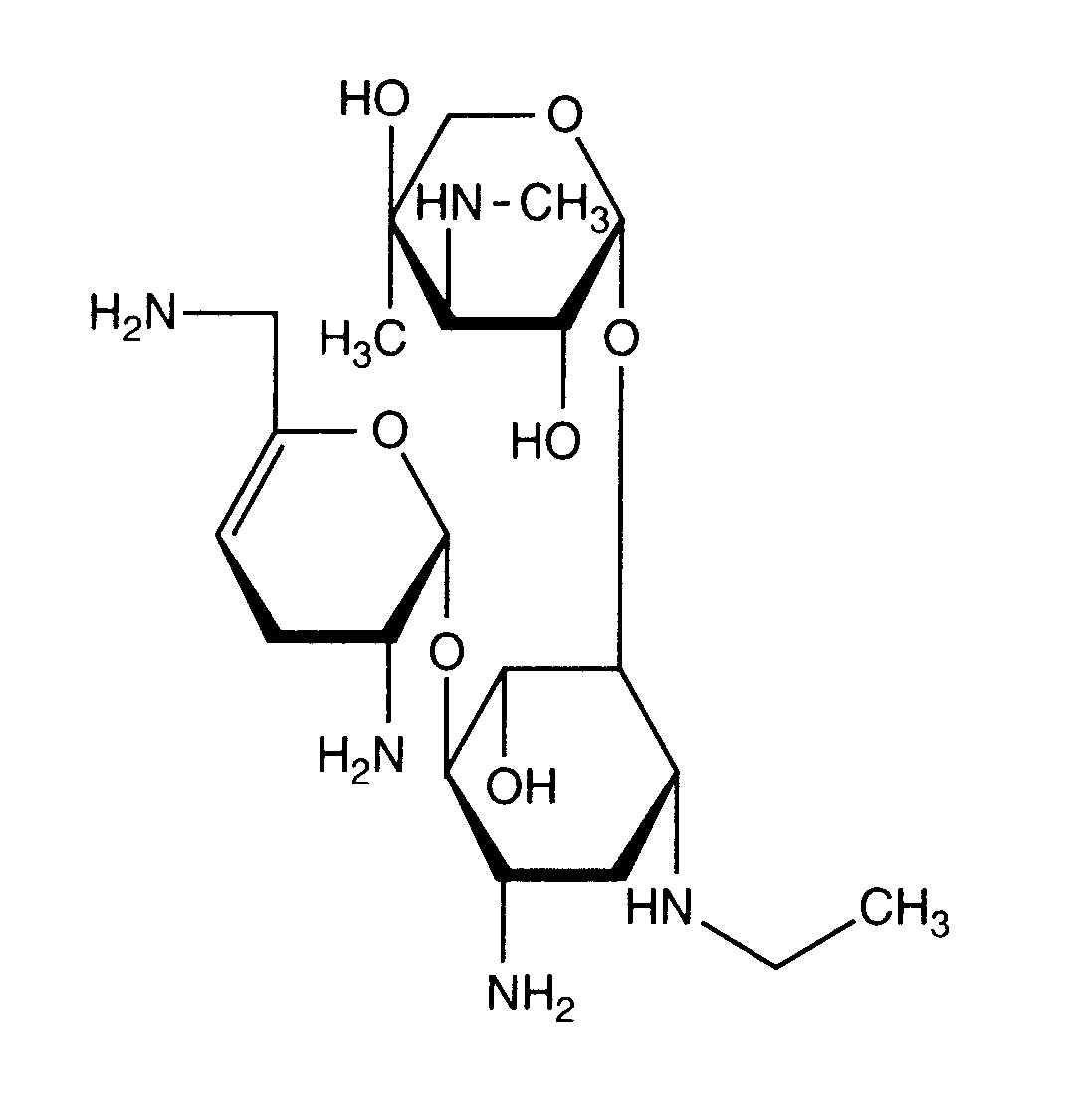
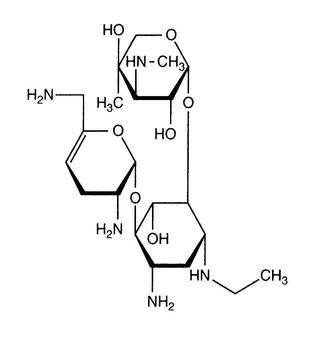
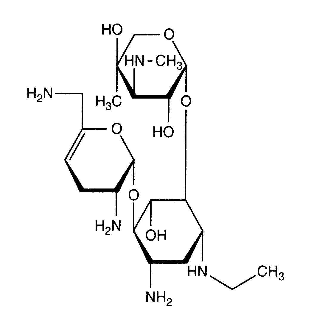
   Struttura chimica  

Aerosol
Stabilità in miscela   Aerosol   Stabilità in miscela : Netilmicin sulfate      
contenitore eccipiente Molecola Temperatura Conservazione Durata della stabilità Bibliografia
Non precisato
Nessuno
Aerosol   Netilmicin sulfate Bottiglia di medicina per l'iniezione1000 mg   Netromicine®
Aerosol   Betamethasone sodium phosphate Bottiglia di medicina per l'iniezione8 mg = 2  Celestene®
Aerosol   N-acetylcysteine Bottiglia di medicina per l'iniezione100 mg =  Mucomyst®
23-27°C
1 Ora
Luce 2648

  Mentions Légales