Останнє оновлення :
27/04/2026
Антибіотик   Netilmicin sulfate   
аерозоль
ін'єкція
Стабільність фармацевтичних препаратів Стійкість сумішей Фактори, що впливають на стабільність Сумісність Список літератури pdf
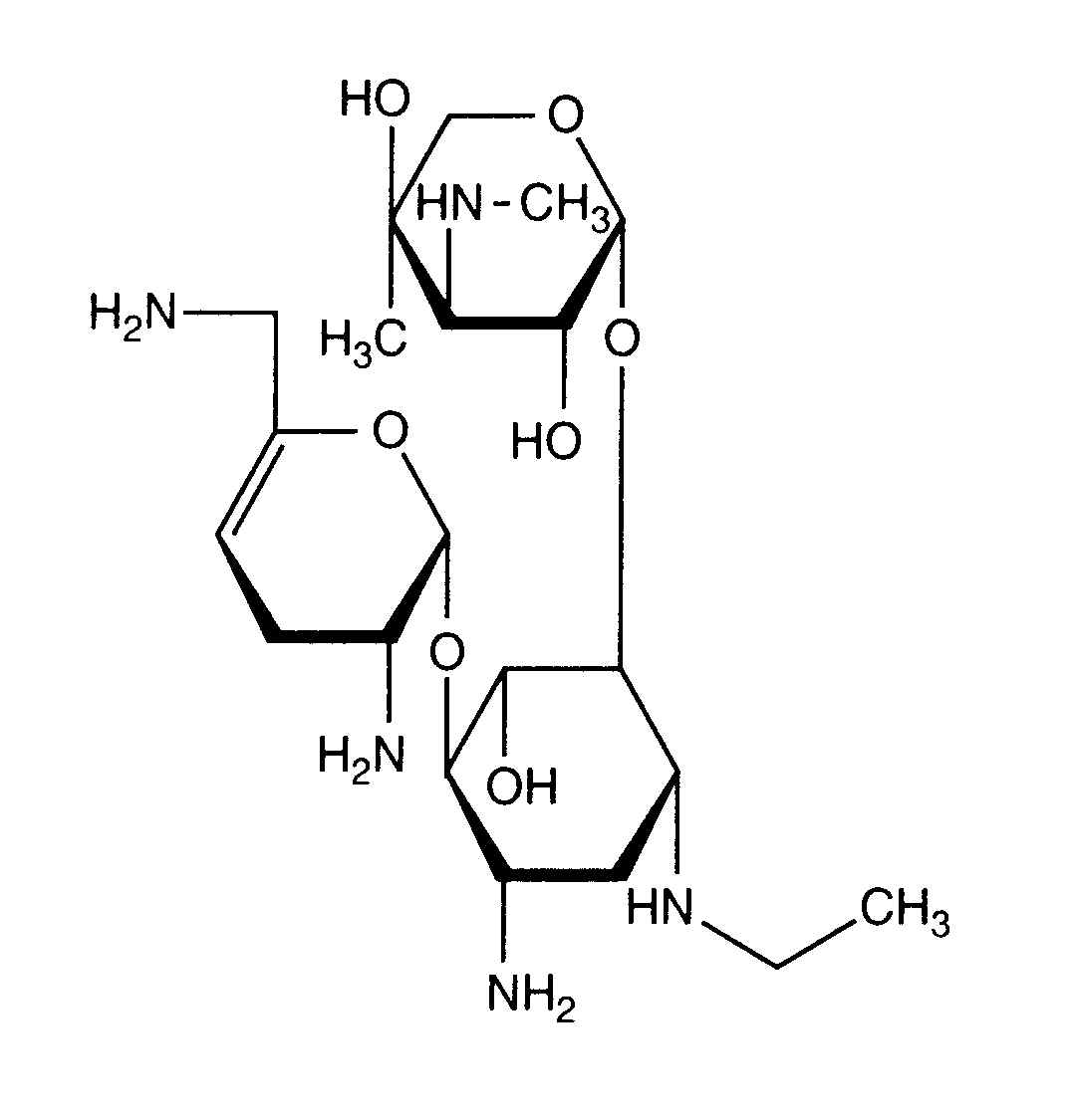
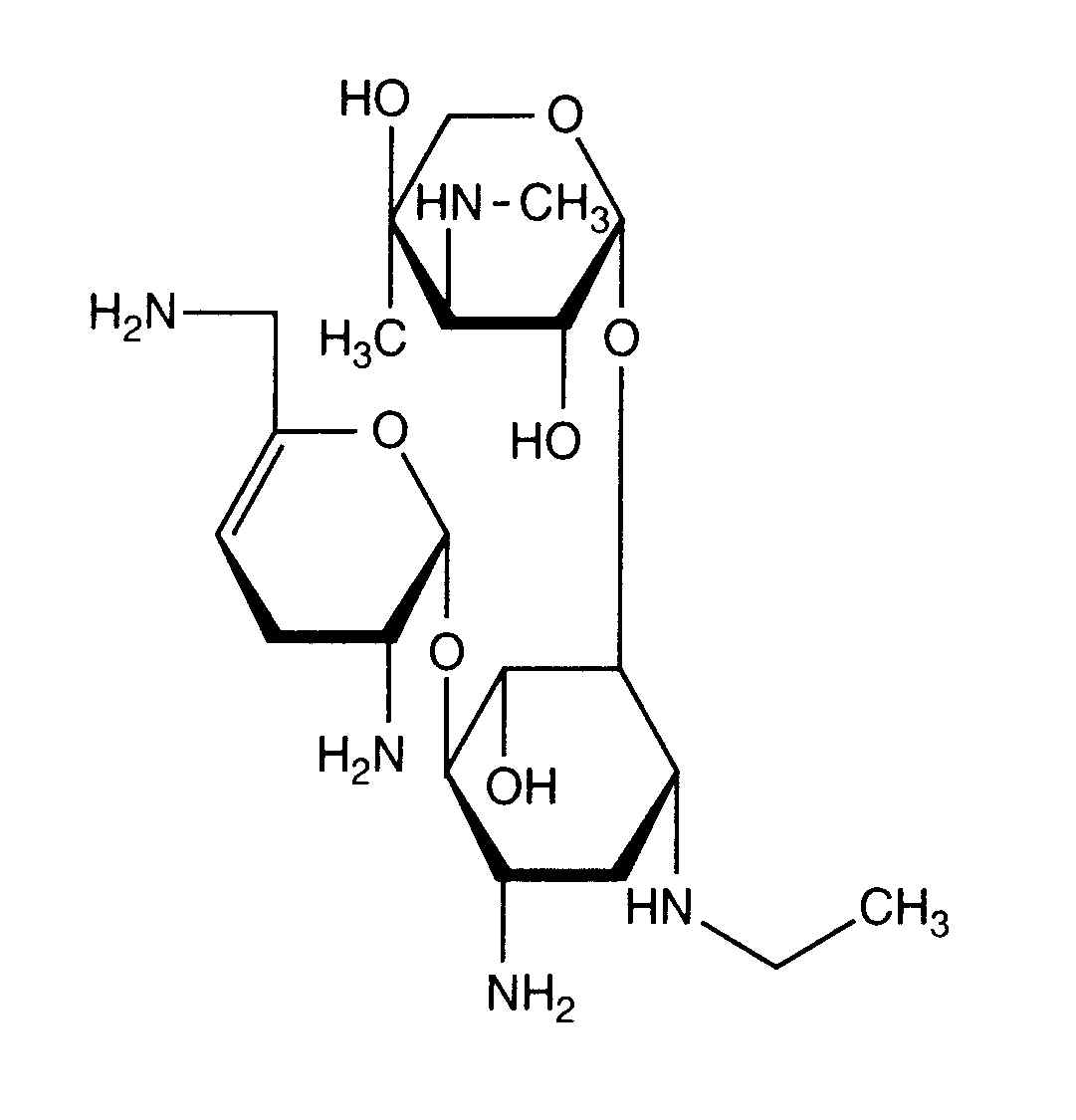
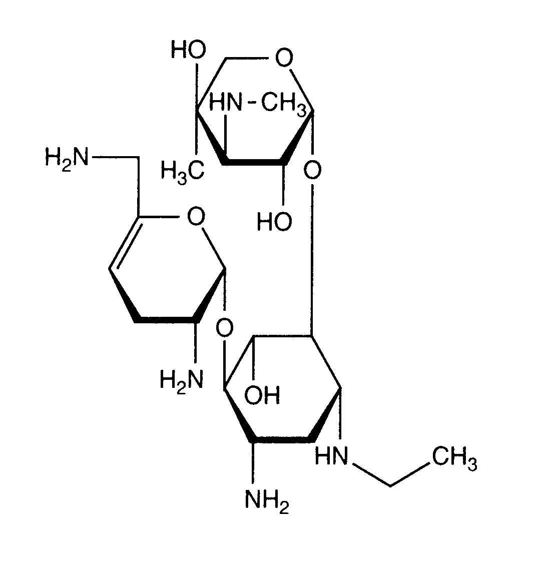
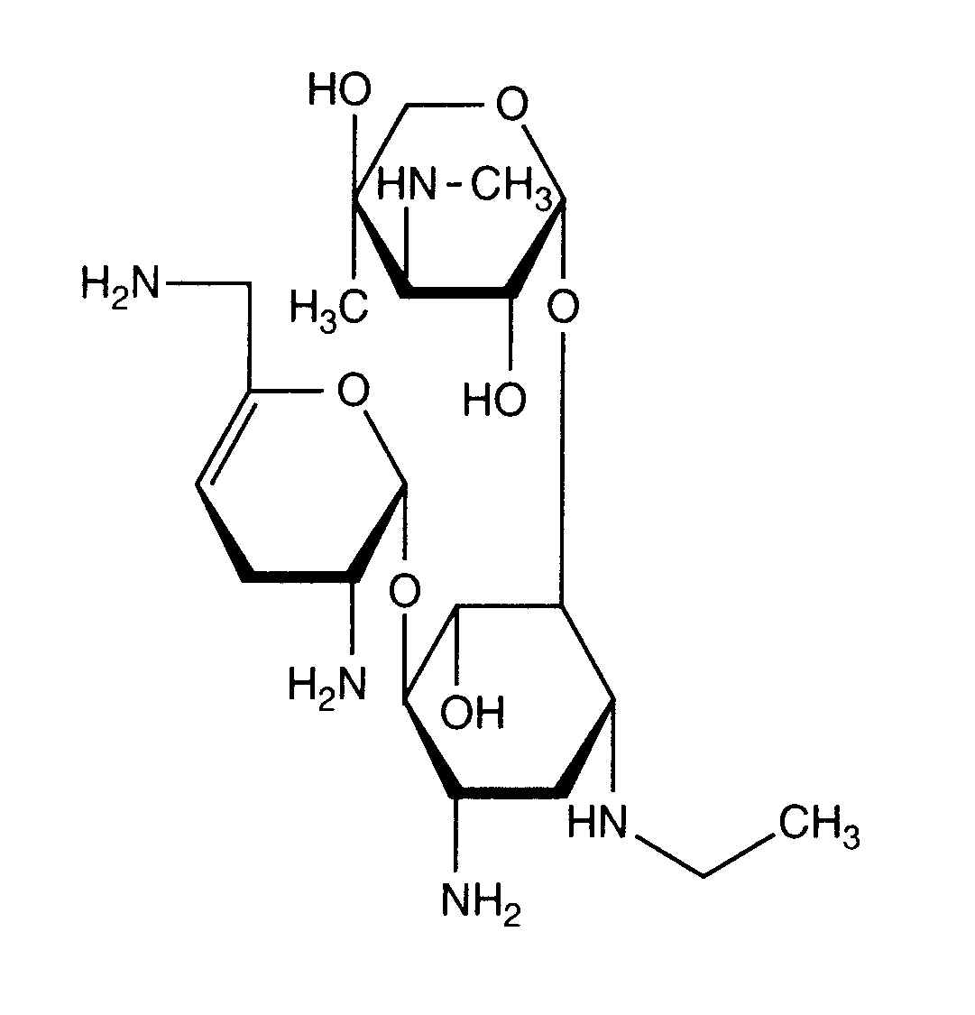
   Хімічна структура  

аерозоль
Стійкість сумішей   аерозоль   Стійкість сумішей : Netilmicin sulfate      
Контейнер допоміжна речовина З'єднання температура Зберігання Тривалість стабільності Список літератури
Не визначено
Жодного
аерозоль   Netilmicin sulfate Пляшка для ін'єкцій1000 mg   Netromicine®
аерозоль   Betamethasone sodium phosphate Пляшка для ін'єкцій8 mg = 2  Celestene®
аерозоль   N-acetylcysteine Пляшка для ін'єкцій100 mg =  Mucomyst®
23-27°C
1 годину
світло 2648

  Mentions Légales