Seneste opdatering :
27/04/2026
Antibiotisk   Netilmicin sulfate   
Aerosol
Injektion
Stabilitet af farmaceutiske tilberedninger Stabilitet i blandinger Faktorer der påvirker stabiliteten Kompatibilitet Bibliografi pdf
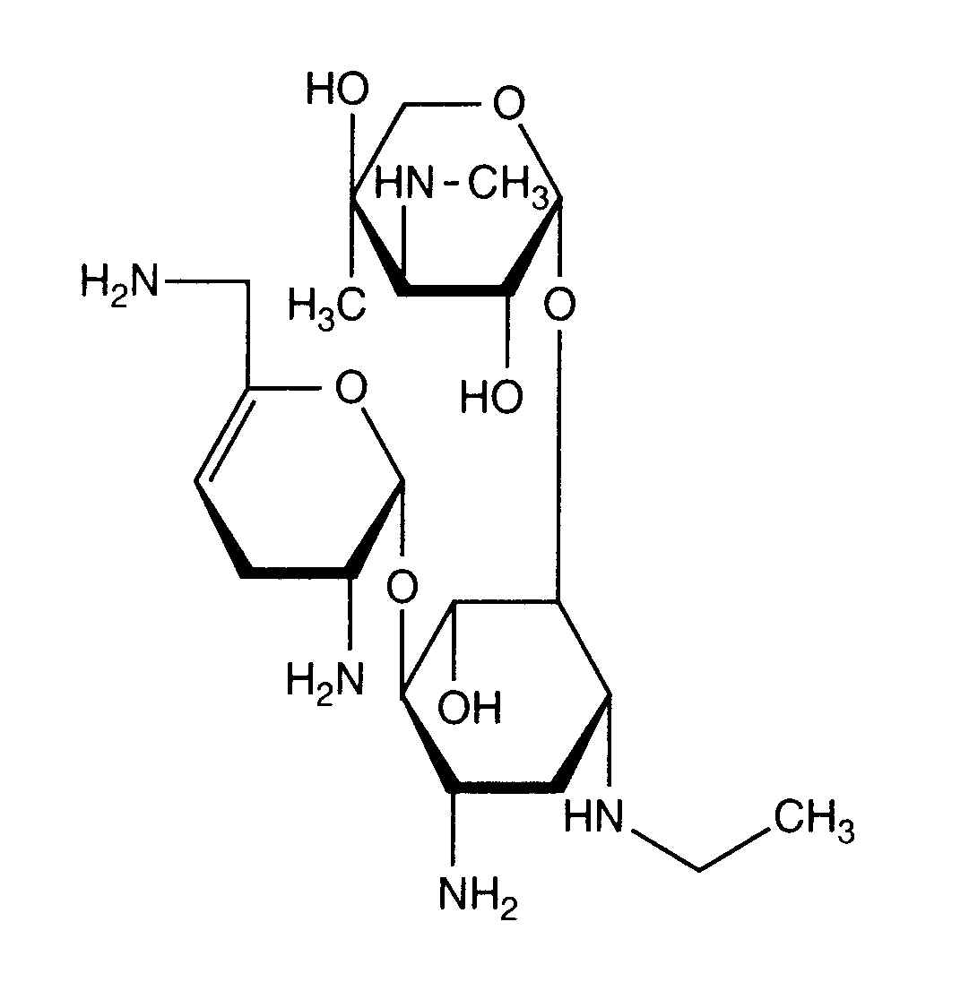
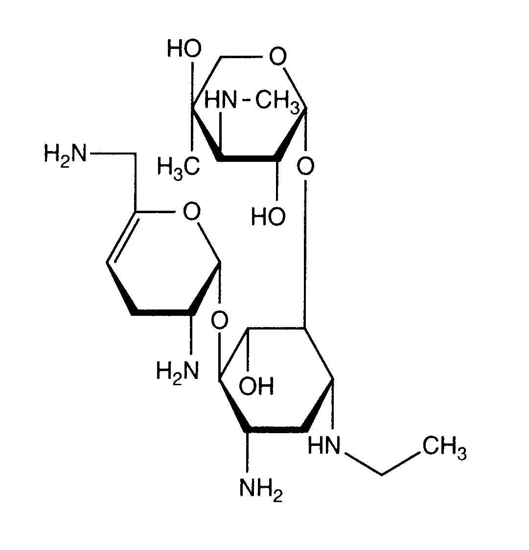
   Kemisk struktur  

Aerosol
Stabilitet i blandinger   Aerosol   Stabilitet i blandinger : Netilmicin sulfate      
Beholder Hjælpestof Molekyle Temperatur Konservering Varighed af stabilitet Bibliografi
Ikke angivet nærmere
Ingen
Aerosol   Netilmicin sulfate Medicinflaske til injektion1000 mg   Netromicine®
Aerosol   Betamethasone sodium phosphate Medicinflaske til injektion8 mg = 2  Celestene®
Aerosol   N-acetylcysteine Medicinflaske til injektion100 mg =  Mucomyst®
23-27°C
1 Time
Lys 2648

  Mentions Légales