Zadnji put ažurirano :
27/04/2026
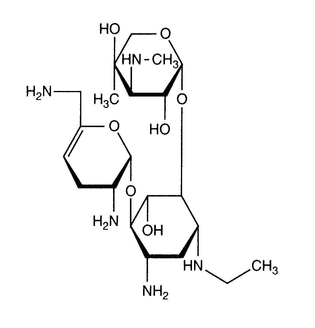
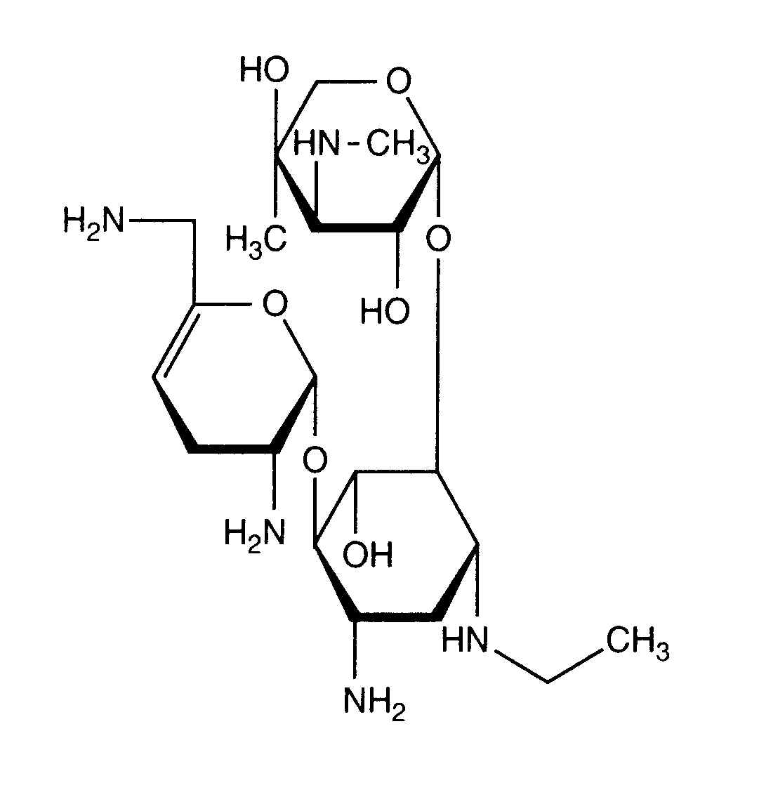
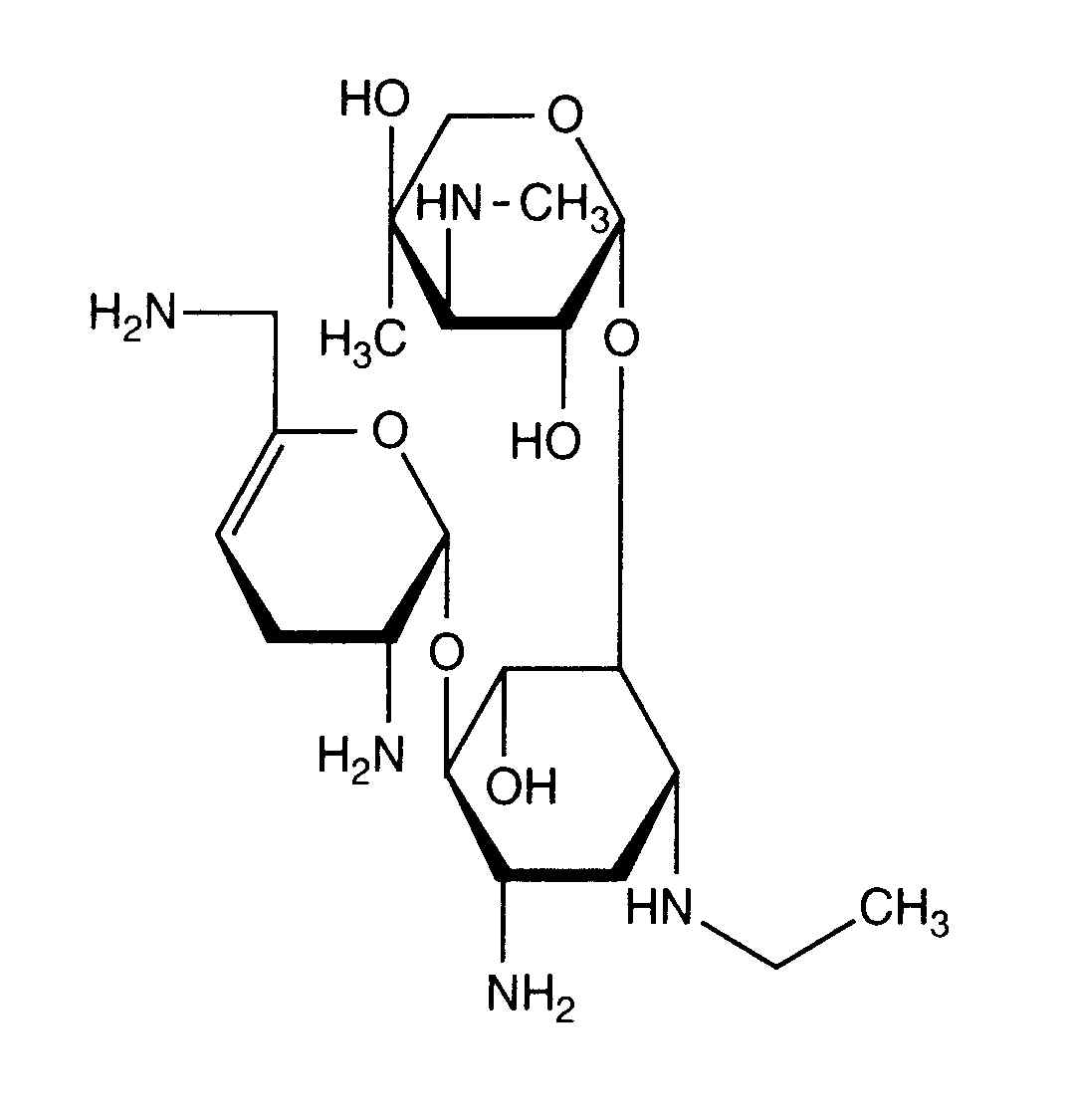
antibiotik   Netilmicin sulfate   
aerosol
injekcija
Stabilnost farmaceutskih pripravaka Stabilnost mješavine Stabilizacijski faktor Kompatibilnosti Bibliografija pdf
   Kemijska struktura  

aerosol
Stabilnost mješavine   aerosol   Stabilnost mješavine : Netilmicin sulfate      
Kontejner pomoćna tvar molekula temperatura Konzerviranje Trajanje stabilnosti Bibliografija
nespecifičan
nijedan
aerosol   Netilmicin sulfate bočica za injekcije1000 mg   Netromicine®
aerosol   Betamethasone sodium phosphate bočica za injekcije8 mg = 2  Celestene®
aerosol   N-acetylcysteine bočica za injekcije100 mg =  Mucomyst®
23-27°C
1 sat
svjetlost 2648

  Mentions Légales